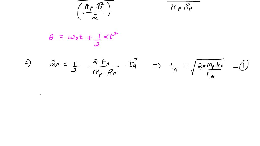
Two Identical Spring Scales Are Each Attached . Both pulleys can rotate about their centers with negligible friction in their axles. Two identical spring scales are each attached to a cord that is wrapped around a pulley, as shown in figure 1. The pulleys are initially at rest when the two spring scales are pulled with the same constant force fsfs,. The same rope is then attached to spring scale. Have two people each hold one of the two spring. The two pulleys have identical mass mp and radius rp. (a) two identical spring scales are each attached to a cord that is wrapped around a pulley, as shown in figure 1. Each spring scale is attached to the string and is pulling on it with a spring force. The two pulleys have identical mass mp and radius rp. The two pulleys have identical mass (m) and radius. These forces are also acting in opposite. Spring scale $a$ is attached to the wall and a rope runs horizontally from it and over the pulley. Two identical spring scales are each attached to a cord that is wrapped around a pulley, as shown in the figure. Two identical spring scales, like those used to weigh fish, or those found in physics class.
from www.numerade.com
The two pulleys have identical mass mp and radius rp. Spring scale $a$ is attached to the wall and a rope runs horizontally from it and over the pulley. The two pulleys have identical mass (m) and radius. Both pulleys can rotate about their centers with negligible friction in their axles. The two pulleys have identical mass mp and radius rp. The same rope is then attached to spring scale. (a) two identical spring scales are each attached to a cord that is wrapped around a pulley, as shown in figure 1. The pulleys are initially at rest when the two spring scales are pulled with the same constant force fsfs,. Have two people each hold one of the two spring. Two identical spring scales are each attached to a cord that is wrapped around a pulley, as shown in the figure.
SOLVED Pulley A Pulley B Spring Scale Spring Scale Figure Two
Two Identical Spring Scales Are Each Attached Each spring scale is attached to the string and is pulling on it with a spring force. Have two people each hold one of the two spring. Spring scale $a$ is attached to the wall and a rope runs horizontally from it and over the pulley. The pulleys are initially at rest when the two spring scales are pulled with the same constant force fsfs,. Both pulleys can rotate about their centers with negligible friction in their axles. Two identical spring scales are each attached to a cord that is wrapped around a pulley, as shown in figure 1. Two identical spring scales are each attached to a cord that is wrapped around a pulley, as shown in the figure. The two pulleys have identical mass (m) and radius. (a) two identical spring scales are each attached to a cord that is wrapped around a pulley, as shown in figure 1. Two identical spring scales, like those used to weigh fish, or those found in physics class. The two pulleys have identical mass mp and radius rp. The same rope is then attached to spring scale. These forces are also acting in opposite. The two pulleys have identical mass mp and radius rp. Each spring scale is attached to the string and is pulling on it with a spring force.
From www.chegg.com
Solved Pulley A Pulley B Spring Spring Scale Scale Figure 1 Two Identical Spring Scales Are Each Attached Have two people each hold one of the two spring. (a) two identical spring scales are each attached to a cord that is wrapped around a pulley, as shown in figure 1. The same rope is then attached to spring scale. Each spring scale is attached to the string and is pulling on it with a spring force. The pulleys. Two Identical Spring Scales Are Each Attached.
From www.homesciencetools.com
Spring Scales Spring Weighing and Force Scale Home Science Tools Two Identical Spring Scales Are Each Attached The same rope is then attached to spring scale. Each spring scale is attached to the string and is pulling on it with a spring force. Two identical spring scales, like those used to weigh fish, or those found in physics class. The two pulleys have identical mass (m) and radius. Two identical spring scales are each attached to a. Two Identical Spring Scales Are Each Attached.
From www.chegg.com
Solved (a) Two identical spring scales are attached to a Two Identical Spring Scales Are Each Attached The two pulleys have identical mass mp and radius rp. Each spring scale is attached to the string and is pulling on it with a spring force. Spring scale $a$ is attached to the wall and a rope runs horizontally from it and over the pulley. The two pulleys have identical mass mp and radius rp. Both pulleys can rotate. Two Identical Spring Scales Are Each Attached.
From www.numerade.com
SOLVED Two identical spring scales are each attached to a cord that is Two Identical Spring Scales Are Each Attached (a) two identical spring scales are each attached to a cord that is wrapped around a pulley, as shown in figure 1. The same rope is then attached to spring scale. Two identical spring scales, like those used to weigh fish, or those found in physics class. Both pulleys can rotate about their centers with negligible friction in their axles.. Two Identical Spring Scales Are Each Attached.
From byjus.com
Two identical springs of spring constant ‘2k’ are attached to a block Two Identical Spring Scales Are Each Attached Have two people each hold one of the two spring. Each spring scale is attached to the string and is pulling on it with a spring force. Spring scale $a$ is attached to the wall and a rope runs horizontally from it and over the pulley. The pulleys are initially at rest when the two spring scales are pulled with. Two Identical Spring Scales Are Each Attached.
From www.chegg.com
Solved Pulley A Pulley B Spring Scale Spring Scale Figure 1 Two Identical Spring Scales Are Each Attached The same rope is then attached to spring scale. The two pulleys have identical mass mp and radius rp. Two identical spring scales, like those used to weigh fish, or those found in physics class. The two pulleys have identical mass mp and radius rp. Spring scale $a$ is attached to the wall and a rope runs horizontally from it. Two Identical Spring Scales Are Each Attached.
From www.coursehero.com
[Solved] Two identical spring scales are each attached to a cord that Two Identical Spring Scales Are Each Attached The two pulleys have identical mass mp and radius rp. The two pulleys have identical mass mp and radius rp. The same rope is then attached to spring scale. Spring scale $a$ is attached to the wall and a rope runs horizontally from it and over the pulley. The pulleys are initially at rest when the two spring scales are. Two Identical Spring Scales Are Each Attached.
From www.youtube.com
Two identical spring of constant K are connected in series and parallel Two Identical Spring Scales Are Each Attached (a) two identical spring scales are each attached to a cord that is wrapped around a pulley, as shown in figure 1. Have two people each hold one of the two spring. The pulleys are initially at rest when the two spring scales are pulled with the same constant force fsfs,. Both pulleys can rotate about their centers with negligible. Two Identical Spring Scales Are Each Attached.
From www.doubtnut.com
Two identical springs of spring constant k are attached to a block of Two Identical Spring Scales Are Each Attached These forces are also acting in opposite. The two pulleys have identical mass mp and radius rp. Two identical spring scales, like those used to weigh fish, or those found in physics class. Two identical spring scales are each attached to a cord that is wrapped around a pulley, as shown in the figure. Each spring scale is attached to. Two Identical Spring Scales Are Each Attached.
From wizedu.com
Two identical spring scales are each attached to a cord that is wrapped Two Identical Spring Scales Are Each Attached Have two people each hold one of the two spring. Both pulleys can rotate about their centers with negligible friction in their axles. Two identical spring scales are each attached to a cord that is wrapped around a pulley, as shown in the figure. The two pulleys have identical mass mp and radius rp. The same rope is then attached. Two Identical Spring Scales Are Each Attached.
From www.chegg.com
Solved Two identical spring scales, spring constant k, hang Two Identical Spring Scales Are Each Attached The same rope is then attached to spring scale. Two identical spring scales, like those used to weigh fish, or those found in physics class. The two pulleys have identical mass mp and radius rp. Two identical spring scales are each attached to a cord that is wrapped around a pulley, as shown in figure 1. Spring scale $a$ is. Two Identical Spring Scales Are Each Attached.
From www.chegg.com
Solved (a) Two identical spring scales are attached to a Two Identical Spring Scales Are Each Attached Two identical spring scales, like those used to weigh fish, or those found in physics class. The two pulleys have identical mass mp and radius rp. The same rope is then attached to spring scale. The two pulleys have identical mass (m) and radius. These forces are also acting in opposite. The pulleys are initially at rest when the two. Two Identical Spring Scales Are Each Attached.
From www.numerade.com
SOLVED Two identical spring scales are each attached to a cord that is Two Identical Spring Scales Are Each Attached Two identical spring scales, like those used to weigh fish, or those found in physics class. Two identical spring scales are each attached to a cord that is wrapped around a pulley, as shown in the figure. The two pulleys have identical mass mp and radius rp. Have two people each hold one of the two spring. Two identical spring. Two Identical Spring Scales Are Each Attached.
From www.bartleby.com
Answered Pulley A Pulley B Spring Scale Spring… bartleby Two Identical Spring Scales Are Each Attached The two pulleys have identical mass mp and radius rp. The two pulleys have identical mass mp and radius rp. Both pulleys can rotate about their centers with negligible friction in their axles. Two identical spring scales are each attached to a cord that is wrapped around a pulley, as shown in the figure. Two identical spring scales are each. Two Identical Spring Scales Are Each Attached.
From www.doubtnut.com
Two identical springs are connected in series and parallel as shown in Two Identical Spring Scales Are Each Attached The pulleys are initially at rest when the two spring scales are pulled with the same constant force fsfs,. Each spring scale is attached to the string and is pulling on it with a spring force. The two pulleys have identical mass mp and radius rp. The same rope is then attached to spring scale. These forces are also acting. Two Identical Spring Scales Are Each Attached.
From guides.brit.co
How to read a spring scale B+C Guides Two Identical Spring Scales Are Each Attached Both pulleys can rotate about their centers with negligible friction in their axles. The pulleys are initially at rest when the two spring scales are pulled with the same constant force fsfs,. Two identical spring scales, like those used to weigh fish, or those found in physics class. The same rope is then attached to spring scale. (a) two identical. Two Identical Spring Scales Are Each Attached.
From www.chegg.com
Solved (a) Two identical spring scales are each attached to Two Identical Spring Scales Are Each Attached Two identical spring scales are each attached to a cord that is wrapped around a pulley, as shown in the figure. The same rope is then attached to spring scale. The pulleys are initially at rest when the two spring scales are pulled with the same constant force fsfs,. Have two people each hold one of the two spring. (a). Two Identical Spring Scales Are Each Attached.
From www.toppr.com
Two identical springs are attached to a small block P . The other ends Two Identical Spring Scales Are Each Attached The pulleys are initially at rest when the two spring scales are pulled with the same constant force fsfs,. The two pulleys have identical mass (m) and radius. The two pulleys have identical mass mp and radius rp. Two identical spring scales are each attached to a cord that is wrapped around a pulley, as shown in the figure. (a). Two Identical Spring Scales Are Each Attached.
From www.chegg.com
Solved As shown below, two identical springs, each with the Two Identical Spring Scales Are Each Attached The two pulleys have identical mass mp and radius rp. These forces are also acting in opposite. Spring scale $a$ is attached to the wall and a rope runs horizontally from it and over the pulley. The two pulleys have identical mass (m) and radius. Two identical spring scales, like those used to weigh fish, or those found in physics. Two Identical Spring Scales Are Each Attached.
From www.doubtnut.com
Two identical springs A and B each of spring constant K are attached t Two Identical Spring Scales Are Each Attached Two identical spring scales, like those used to weigh fish, or those found in physics class. The two pulleys have identical mass mp and radius rp. Two identical spring scales are each attached to a cord that is wrapped around a pulley, as shown in figure 1. These forces are also acting in opposite. The two pulleys have identical mass. Two Identical Spring Scales Are Each Attached.
From www.coursehero.com
[Solved] Two identical spring scales are each attached to a cord that Two Identical Spring Scales Are Each Attached The two pulleys have identical mass mp and radius rp. The pulleys are initially at rest when the two spring scales are pulled with the same constant force fsfs,. Two identical spring scales are each attached to a cord that is wrapped around a pulley, as shown in the figure. The two pulleys have identical mass mp and radius rp.. Two Identical Spring Scales Are Each Attached.
From www.numerade.com
Two identical spring scales are each attached to a cord that is wrapped Two Identical Spring Scales Are Each Attached The two pulleys have identical mass mp and radius rp. (a) two identical spring scales are each attached to a cord that is wrapped around a pulley, as shown in figure 1. The two pulleys have identical mass (m) and radius. These forces are also acting in opposite. The pulleys are initially at rest when the two spring scales are. Two Identical Spring Scales Are Each Attached.
From www.chegg.com
Solved (a) Two identical spring scales are each attached to Two Identical Spring Scales Are Each Attached Both pulleys can rotate about their centers with negligible friction in their axles. Two identical spring scales, like those used to weigh fish, or those found in physics class. Two identical spring scales are each attached to a cord that is wrapped around a pulley, as shown in the figure. The two pulleys have identical mass (m) and radius. The. Two Identical Spring Scales Are Each Attached.
From www.doubtnut.com
Two identical springs of spring constant k are attached to a block of Two Identical Spring Scales Are Each Attached Two identical spring scales are each attached to a cord that is wrapped around a pulley, as shown in the figure. The pulleys are initially at rest when the two spring scales are pulled with the same constant force fsfs,. Spring scale $a$ is attached to the wall and a rope runs horizontally from it and over the pulley. The. Two Identical Spring Scales Are Each Attached.
From www.doubtnut.com
Two identical springs of spring constant k each are connected in serie Two Identical Spring Scales Are Each Attached The same rope is then attached to spring scale. The two pulleys have identical mass (m) and radius. Both pulleys can rotate about their centers with negligible friction in their axles. The two pulleys have identical mass mp and radius rp. The two pulleys have identical mass mp and radius rp. Have two people each hold one of the two. Two Identical Spring Scales Are Each Attached.
From www.bartleby.com
The systems shown in Figure P5.28 are in equilibrium. If the spring Two Identical Spring Scales Are Each Attached The same rope is then attached to spring scale. Have two people each hold one of the two spring. The two pulleys have identical mass mp and radius rp. Two identical spring scales, like those used to weigh fish, or those found in physics class. The two pulleys have identical mass mp and radius rp. These forces are also acting. Two Identical Spring Scales Are Each Attached.
From www.doubtnut.com
Two identical springs, each of spring constant K, are connected first Two Identical Spring Scales Are Each Attached Two identical spring scales are each attached to a cord that is wrapped around a pulley, as shown in figure 1. The two pulleys have identical mass mp and radius rp. The two pulleys have identical mass mp and radius rp. Two identical spring scales, like those used to weigh fish, or those found in physics class. Spring scale $a$. Two Identical Spring Scales Are Each Attached.
From us.ohaus.com
OHAUS Spring Scales Two Identical Spring Scales Are Each Attached Both pulleys can rotate about their centers with negligible friction in their axles. (a) two identical spring scales are each attached to a cord that is wrapped around a pulley, as shown in figure 1. Two identical spring scales, like those used to weigh fish, or those found in physics class. Two identical spring scales are each attached to a. Two Identical Spring Scales Are Each Attached.
From www.doubtnut.com
Two identical springs are attached to a small block P. The other ends Two Identical Spring Scales Are Each Attached Two identical spring scales are each attached to a cord that is wrapped around a pulley, as shown in the figure. Each spring scale is attached to the string and is pulling on it with a spring force. Two identical spring scales are each attached to a cord that is wrapped around a pulley, as shown in figure 1. The. Two Identical Spring Scales Are Each Attached.
From www.studyxapp.com
6 the experiment below shows two spring scales attached to a hanging Two Identical Spring Scales Are Each Attached The pulleys are initially at rest when the two spring scales are pulled with the same constant force fsfs,. The same rope is then attached to spring scale. (a) two identical spring scales are each attached to a cord that is wrapped around a pulley, as shown in figure 1. Spring scale $a$ is attached to the wall and a. Two Identical Spring Scales Are Each Attached.
From questions-in.kunduz.com
A mass of 1 kg is attached to two identical springs Physics Two Identical Spring Scales Are Each Attached The pulleys are initially at rest when the two spring scales are pulled with the same constant force fsfs,. Spring scale $a$ is attached to the wall and a rope runs horizontally from it and over the pulley. The two pulleys have identical mass mp and radius rp. The two pulleys have identical mass mp and radius rp. These forces. Two Identical Spring Scales Are Each Attached.
From www.numerade.com
SOLVED Pulley A Pulley B Spring Scale Spring Scale Figure Two Two Identical Spring Scales Are Each Attached Two identical spring scales are each attached to a cord that is wrapped around a pulley, as shown in the figure. The two pulleys have identical mass mp and radius rp. Both pulleys can rotate about their centers with negligible friction in their axles. These forces are also acting in opposite. Spring scale $a$ is attached to the wall and. Two Identical Spring Scales Are Each Attached.
From www.chegg.com
Solved (a) Two identical spring scales are each attached to Two Identical Spring Scales Are Each Attached The two pulleys have identical mass mp and radius rp. The two pulleys have identical mass mp and radius rp. Two identical spring scales, like those used to weigh fish, or those found in physics class. The two pulleys have identical mass (m) and radius. Each spring scale is attached to the string and is pulling on it with a. Two Identical Spring Scales Are Each Attached.
From www.chegg.com
Solved Pulley A Pulley B Spring Spring Scale Scale Figure 1 Two Identical Spring Scales Are Each Attached Two identical spring scales are each attached to a cord that is wrapped around a pulley, as shown in figure 1. Each spring scale is attached to the string and is pulling on it with a spring force. The pulleys are initially at rest when the two spring scales are pulled with the same constant force fsfs,. These forces are. Two Identical Spring Scales Are Each Attached.
From www.chegg.com
Solved (a) Two identical spring scales are attached to a Two Identical Spring Scales Are Each Attached The two pulleys have identical mass (m) and radius. Each spring scale is attached to the string and is pulling on it with a spring force. Have two people each hold one of the two spring. Spring scale $a$ is attached to the wall and a rope runs horizontally from it and over the pulley. The two pulleys have identical. Two Identical Spring Scales Are Each Attached.