Blood Glucose Monitoring Skills Checklist . Use the checklist below to review the steps for completion of “blood glucose monitoring.” steps disclaimer: It entails measuring the blood’s glucose (sugar) levels to ensure they stay within a desired range. See the “checklist for blood glucose monitoring” for details regarding the procedure. This practice is vital for. States purpose of the blood glucose monitoring procedure. States understanding of appropriate times to do monitoring. The glucose monitoring skills competency checklist is performed by licensed nurses on an annual basis. Read and understood the manufacturer’s instructions and agency policy for the blood glucose meters. It is often important to keep the patient’s hand warm and in a dependent position to promote. Read and understood the manufacturer’s instructions and agency policy for the blood glucose meters. Read and understood the manufacturer’s instructions and agency policy for the blood glucose meters.
from www.templateroller.com
Use the checklist below to review the steps for completion of “blood glucose monitoring.” steps disclaimer: The glucose monitoring skills competency checklist is performed by licensed nurses on an annual basis. States understanding of appropriate times to do monitoring. Read and understood the manufacturer’s instructions and agency policy for the blood glucose meters. Read and understood the manufacturer’s instructions and agency policy for the blood glucose meters. States purpose of the blood glucose monitoring procedure. Read and understood the manufacturer’s instructions and agency policy for the blood glucose meters. This practice is vital for. It entails measuring the blood’s glucose (sugar) levels to ensure they stay within a desired range. See the “checklist for blood glucose monitoring” for details regarding the procedure.
Blood Glucose Monitoring Diary Download Fillable PDF Templateroller
Blood Glucose Monitoring Skills Checklist States purpose of the blood glucose monitoring procedure. Read and understood the manufacturer’s instructions and agency policy for the blood glucose meters. States purpose of the blood glucose monitoring procedure. Read and understood the manufacturer’s instructions and agency policy for the blood glucose meters. Use the checklist below to review the steps for completion of “blood glucose monitoring.” steps disclaimer: It entails measuring the blood’s glucose (sugar) levels to ensure they stay within a desired range. It is often important to keep the patient’s hand warm and in a dependent position to promote. Read and understood the manufacturer’s instructions and agency policy for the blood glucose meters. See the “checklist for blood glucose monitoring” for details regarding the procedure. The glucose monitoring skills competency checklist is performed by licensed nurses on an annual basis. States understanding of appropriate times to do monitoring. This practice is vital for.
From blood-glucose-monitoring.pdffiller.com
Sheet Glucose Monitoring Fill Online, Printable, Fillable, Blank Blood Glucose Monitoring Skills Checklist Read and understood the manufacturer’s instructions and agency policy for the blood glucose meters. Read and understood the manufacturer’s instructions and agency policy for the blood glucose meters. Read and understood the manufacturer’s instructions and agency policy for the blood glucose meters. It is often important to keep the patient’s hand warm and in a dependent position to promote. The. Blood Glucose Monitoring Skills Checklist.
From www.scribd.com
Blood Glucose Measurement Skills Checklist PDF Blood Glucose Monitoring Skills Checklist This practice is vital for. See the “checklist for blood glucose monitoring” for details regarding the procedure. Read and understood the manufacturer’s instructions and agency policy for the blood glucose meters. It entails measuring the blood’s glucose (sugar) levels to ensure they stay within a desired range. States understanding of appropriate times to do monitoring. States purpose of the blood. Blood Glucose Monitoring Skills Checklist.
From www.studocu.com
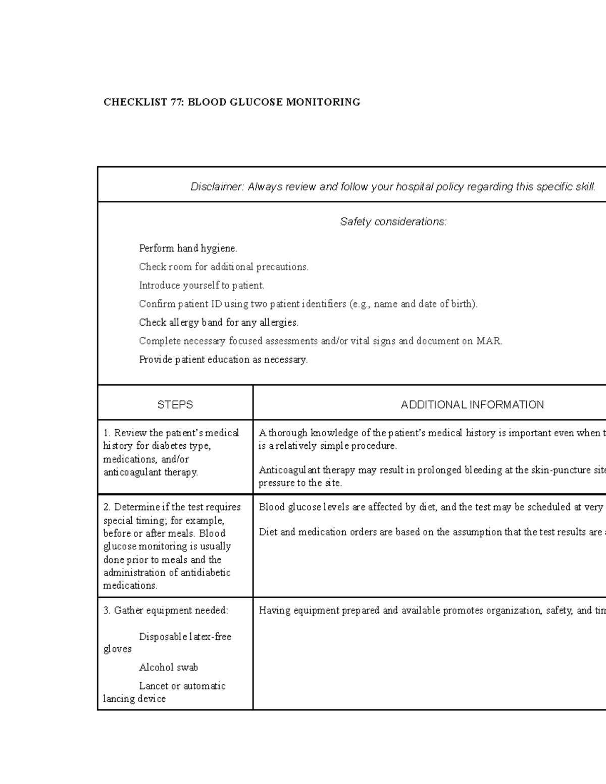
Checklist 77 CHECKLIST 77 BLOOD GLUCOSE MONITORING Disclaimer Blood Glucose Monitoring Skills Checklist The glucose monitoring skills competency checklist is performed by licensed nurses on an annual basis. Read and understood the manufacturer’s instructions and agency policy for the blood glucose meters. Read and understood the manufacturer’s instructions and agency policy for the blood glucose meters. Use the checklist below to review the steps for completion of “blood glucose monitoring.” steps disclaimer: Read. Blood Glucose Monitoring Skills Checklist.
From www.pdffiller.com
Blood Glucose Record Fill Online, Printable, Fillable, Blank pdfFiller Blood Glucose Monitoring Skills Checklist It is often important to keep the patient’s hand warm and in a dependent position to promote. See the “checklist for blood glucose monitoring” for details regarding the procedure. States understanding of appropriate times to do monitoring. Read and understood the manufacturer’s instructions and agency policy for the blood glucose meters. Use the checklist below to review the steps for. Blood Glucose Monitoring Skills Checklist.
From acmeofskill.com
Blood Glucose Chart Printable Template Business PSD, Excel, Word, PDF Blood Glucose Monitoring Skills Checklist See the “checklist for blood glucose monitoring” for details regarding the procedure. Use the checklist below to review the steps for completion of “blood glucose monitoring.” steps disclaimer: Read and understood the manufacturer’s instructions and agency policy for the blood glucose meters. States understanding of appropriate times to do monitoring. It entails measuring the blood’s glucose (sugar) levels to ensure. Blood Glucose Monitoring Skills Checklist.
From www.docsity.com
Competency Checklist Blood Glucose Monitoring Exercises Nursing Blood Glucose Monitoring Skills Checklist Read and understood the manufacturer’s instructions and agency policy for the blood glucose meters. Read and understood the manufacturer’s instructions and agency policy for the blood glucose meters. Read and understood the manufacturer’s instructions and agency policy for the blood glucose meters. It entails measuring the blood’s glucose (sugar) levels to ensure they stay within a desired range. See the. Blood Glucose Monitoring Skills Checklist.
From www.formsbank.com
Top 6 Blood Glucose Monitoring Charts free to download in PDF format Blood Glucose Monitoring Skills Checklist This practice is vital for. Read and understood the manufacturer’s instructions and agency policy for the blood glucose meters. See the “checklist for blood glucose monitoring” for details regarding the procedure. Read and understood the manufacturer’s instructions and agency policy for the blood glucose meters. Read and understood the manufacturer’s instructions and agency policy for the blood glucose meters. States. Blood Glucose Monitoring Skills Checklist.
From mavink.com
Printable Blood Glucose Monitoring Chart Blood Glucose Monitoring Skills Checklist See the “checklist for blood glucose monitoring” for details regarding the procedure. Read and understood the manufacturer’s instructions and agency policy for the blood glucose meters. It entails measuring the blood’s glucose (sugar) levels to ensure they stay within a desired range. This practice is vital for. States purpose of the blood glucose monitoring procedure. Read and understood the manufacturer’s. Blood Glucose Monitoring Skills Checklist.
From launcheffecthouston.com
Easytouse Blood Sugar Log Sheets Downloadable With Amazing Glucose Blood Glucose Monitoring Skills Checklist The glucose monitoring skills competency checklist is performed by licensed nurses on an annual basis. Read and understood the manufacturer’s instructions and agency policy for the blood glucose meters. Read and understood the manufacturer’s instructions and agency policy for the blood glucose meters. See the “checklist for blood glucose monitoring” for details regarding the procedure. States purpose of the blood. Blood Glucose Monitoring Skills Checklist.
From www.studocu.com
ALT blood glucose monitoring ACTIVE LEARNING TEMPLATES THERAPEUTIC Blood Glucose Monitoring Skills Checklist It is often important to keep the patient’s hand warm and in a dependent position to promote. States understanding of appropriate times to do monitoring. Read and understood the manufacturer’s instructions and agency policy for the blood glucose meters. The glucose monitoring skills competency checklist is performed by licensed nurses on an annual basis. Read and understood the manufacturer’s instructions. Blood Glucose Monitoring Skills Checklist.
From www.templateroller.com
Blood Glucose Monitoring Diary Download Fillable PDF Templateroller Blood Glucose Monitoring Skills Checklist This practice is vital for. It entails measuring the blood’s glucose (sugar) levels to ensure they stay within a desired range. Use the checklist below to review the steps for completion of “blood glucose monitoring.” steps disclaimer: Read and understood the manufacturer’s instructions and agency policy for the blood glucose meters. See the “checklist for blood glucose monitoring” for details. Blood Glucose Monitoring Skills Checklist.
From www.vrogue.co
Checklist On Blood Glucose Monitoring Checklist On Bl vrogue.co Blood Glucose Monitoring Skills Checklist Use the checklist below to review the steps for completion of “blood glucose monitoring.” steps disclaimer: States understanding of appropriate times to do monitoring. The glucose monitoring skills competency checklist is performed by licensed nurses on an annual basis. States purpose of the blood glucose monitoring procedure. It entails measuring the blood’s glucose (sugar) levels to ensure they stay within. Blood Glucose Monitoring Skills Checklist.
From www.studypool.com
SOLUTION Nursing skill capillary blood glucose monitoring Studypool Blood Glucose Monitoring Skills Checklist Read and understood the manufacturer’s instructions and agency policy for the blood glucose meters. This practice is vital for. It is often important to keep the patient’s hand warm and in a dependent position to promote. States purpose of the blood glucose monitoring procedure. It entails measuring the blood’s glucose (sugar) levels to ensure they stay within a desired range.. Blood Glucose Monitoring Skills Checklist.
From www.formsbirds.com
Weekly Blood Glucose Monitoring Chart Free Download Blood Glucose Monitoring Skills Checklist Read and understood the manufacturer’s instructions and agency policy for the blood glucose meters. This practice is vital for. Use the checklist below to review the steps for completion of “blood glucose monitoring.” steps disclaimer: States understanding of appropriate times to do monitoring. See the “checklist for blood glucose monitoring” for details regarding the procedure. Read and understood the manufacturer’s. Blood Glucose Monitoring Skills Checklist.
From www.wordexceltemplates.com
Blood Glucose Testing Record Sheet Template Word & Excel Templates Blood Glucose Monitoring Skills Checklist Read and understood the manufacturer’s instructions and agency policy for the blood glucose meters. Read and understood the manufacturer’s instructions and agency policy for the blood glucose meters. States purpose of the blood glucose monitoring procedure. See the “checklist for blood glucose monitoring” for details regarding the procedure. This practice is vital for. It is often important to keep the. Blood Glucose Monitoring Skills Checklist.
From www.scribd.com
Cappilary Blood Glucose Monitoring Checklist PDF Medical Blood Glucose Monitoring Skills Checklist The glucose monitoring skills competency checklist is performed by licensed nurses on an annual basis. It entails measuring the blood’s glucose (sugar) levels to ensure they stay within a desired range. Use the checklist below to review the steps for completion of “blood glucose monitoring.” steps disclaimer: States purpose of the blood glucose monitoring procedure. See the “checklist for blood. Blood Glucose Monitoring Skills Checklist.
From www.youtube.com
Blood Glucose Testing Clinical Skills OSCE Diabetic Testing Blood Glucose Monitoring Skills Checklist The glucose monitoring skills competency checklist is performed by licensed nurses on an annual basis. Use the checklist below to review the steps for completion of “blood glucose monitoring.” steps disclaimer: It entails measuring the blood’s glucose (sugar) levels to ensure they stay within a desired range. Read and understood the manufacturer’s instructions and agency policy for the blood glucose. Blood Glucose Monitoring Skills Checklist.
From www.osmosis.org
Blood glucose testing Clinical skills notes Osmosis Blood Glucose Monitoring Skills Checklist Use the checklist below to review the steps for completion of “blood glucose monitoring.” steps disclaimer: The glucose monitoring skills competency checklist is performed by licensed nurses on an annual basis. This practice is vital for. It is often important to keep the patient’s hand warm and in a dependent position to promote. Read and understood the manufacturer’s instructions and. Blood Glucose Monitoring Skills Checklist.
From www.edhealth.com.au
Module 2 Glucose monitoring EdHealth Australia Blood Glucose Monitoring Skills Checklist States understanding of appropriate times to do monitoring. Read and understood the manufacturer’s instructions and agency policy for the blood glucose meters. Read and understood the manufacturer’s instructions and agency policy for the blood glucose meters. See the “checklist for blood glucose monitoring” for details regarding the procedure. Use the checklist below to review the steps for completion of “blood. Blood Glucose Monitoring Skills Checklist.
From www.etsy.com
A1C Blood Glucose Tracker, Printable Blood Sugar Log, Medical Checklist Blood Glucose Monitoring Skills Checklist The glucose monitoring skills competency checklist is performed by licensed nurses on an annual basis. This practice is vital for. Read and understood the manufacturer’s instructions and agency policy for the blood glucose meters. It entails measuring the blood’s glucose (sugar) levels to ensure they stay within a desired range. It is often important to keep the patient’s hand warm. Blood Glucose Monitoring Skills Checklist.
From www.studocu.com
Blood sugar competency Name ____________________________ Date Blood Glucose Monitoring Skills Checklist See the “checklist for blood glucose monitoring” for details regarding the procedure. Read and understood the manufacturer’s instructions and agency policy for the blood glucose meters. It is often important to keep the patient’s hand warm and in a dependent position to promote. States understanding of appropriate times to do monitoring. Read and understood the manufacturer’s instructions and agency policy. Blood Glucose Monitoring Skills Checklist.
From www.studocu.com
active learning template blood glucose self monitoring ACTIVE Blood Glucose Monitoring Skills Checklist This practice is vital for. Read and understood the manufacturer’s instructions and agency policy for the blood glucose meters. It is often important to keep the patient’s hand warm and in a dependent position to promote. Read and understood the manufacturer’s instructions and agency policy for the blood glucose meters. Read and understood the manufacturer’s instructions and agency policy for. Blood Glucose Monitoring Skills Checklist.
From www.templateroller.com
Blood Glucose Monitoring Log the Portland Clinic Download Printable Blood Glucose Monitoring Skills Checklist It entails measuring the blood’s glucose (sugar) levels to ensure they stay within a desired range. Use the checklist below to review the steps for completion of “blood glucose monitoring.” steps disclaimer: States understanding of appropriate times to do monitoring. Read and understood the manufacturer’s instructions and agency policy for the blood glucose meters. The glucose monitoring skills competency checklist. Blood Glucose Monitoring Skills Checklist.
From www.pinterest.com
Pin on printables Blood Glucose Monitoring Skills Checklist Read and understood the manufacturer’s instructions and agency policy for the blood glucose meters. See the “checklist for blood glucose monitoring” for details regarding the procedure. Read and understood the manufacturer’s instructions and agency policy for the blood glucose meters. Use the checklist below to review the steps for completion of “blood glucose monitoring.” steps disclaimer: Read and understood the. Blood Glucose Monitoring Skills Checklist.
From studylib.net
competency St. Joseph Health Blood Glucose Monitoring Skills Checklist See the “checklist for blood glucose monitoring” for details regarding the procedure. The glucose monitoring skills competency checklist is performed by licensed nurses on an annual basis. This practice is vital for. Read and understood the manufacturer’s instructions and agency policy for the blood glucose meters. Read and understood the manufacturer’s instructions and agency policy for the blood glucose meters.. Blood Glucose Monitoring Skills Checklist.
From www.oscetrainer.com
Blood Glucose Monitoring NMC OSCE Skill Station OSCE Trainer Blood Glucose Monitoring Skills Checklist Read and understood the manufacturer’s instructions and agency policy for the blood glucose meters. Read and understood the manufacturer’s instructions and agency policy for the blood glucose meters. The glucose monitoring skills competency checklist is performed by licensed nurses on an annual basis. It entails measuring the blood’s glucose (sugar) levels to ensure they stay within a desired range. It. Blood Glucose Monitoring Skills Checklist.
From www.formsbirds.com
Blood Glucose Chart 6 Free Templates in PDF, Word, Excel Download Blood Glucose Monitoring Skills Checklist See the “checklist for blood glucose monitoring” for details regarding the procedure. Read and understood the manufacturer’s instructions and agency policy for the blood glucose meters. It entails measuring the blood’s glucose (sugar) levels to ensure they stay within a desired range. The glucose monitoring skills competency checklist is performed by licensed nurses on an annual basis. It is often. Blood Glucose Monitoring Skills Checklist.
From printable-map-az.com
Free Printable Blood Sugar Tracking Chart Free Printable Blood Glucose Monitoring Skills Checklist It entails measuring the blood’s glucose (sugar) levels to ensure they stay within a desired range. The glucose monitoring skills competency checklist is performed by licensed nurses on an annual basis. Read and understood the manufacturer’s instructions and agency policy for the blood glucose meters. It is often important to keep the patient’s hand warm and in a dependent position. Blood Glucose Monitoring Skills Checklist.
From www.studypool.com
SOLUTION Nursing Blood Glucose Monitoring Checklist Studypool Blood Glucose Monitoring Skills Checklist States understanding of appropriate times to do monitoring. Use the checklist below to review the steps for completion of “blood glucose monitoring.” steps disclaimer: States purpose of the blood glucose monitoring procedure. It is often important to keep the patient’s hand warm and in a dependent position to promote. Read and understood the manufacturer’s instructions and agency policy for the. Blood Glucose Monitoring Skills Checklist.
From www.osmosis.org
Blood glucose testing Clinical skills notes Osmosis Blood Glucose Monitoring Skills Checklist Use the checklist below to review the steps for completion of “blood glucose monitoring.” steps disclaimer: This practice is vital for. It is often important to keep the patient’s hand warm and in a dependent position to promote. Read and understood the manufacturer’s instructions and agency policy for the blood glucose meters. It entails measuring the blood’s glucose (sugar) levels. Blood Glucose Monitoring Skills Checklist.
From www.osmosis.org
Blood glucose testing Clinical skills notes Osmosis Blood Glucose Monitoring Skills Checklist States purpose of the blood glucose monitoring procedure. It is often important to keep the patient’s hand warm and in a dependent position to promote. Read and understood the manufacturer’s instructions and agency policy for the blood glucose meters. States understanding of appropriate times to do monitoring. This practice is vital for. See the “checklist for blood glucose monitoring” for. Blood Glucose Monitoring Skills Checklist.
From www.studocu.com
Active Learning Template Nursing Skill Blood Glucose Monitoring for Blood Glucose Monitoring Skills Checklist The glucose monitoring skills competency checklist is performed by licensed nurses on an annual basis. This practice is vital for. It entails measuring the blood’s glucose (sugar) levels to ensure they stay within a desired range. States understanding of appropriate times to do monitoring. Read and understood the manufacturer’s instructions and agency policy for the blood glucose meters. Read and. Blood Glucose Monitoring Skills Checklist.
From www.studocu.com
Blood Glucose Check Nursing Skill Template ACTIVE LEARNING TEMPLATES Blood Glucose Monitoring Skills Checklist Read and understood the manufacturer’s instructions and agency policy for the blood glucose meters. Read and understood the manufacturer’s instructions and agency policy for the blood glucose meters. This practice is vital for. States purpose of the blood glucose monitoring procedure. The glucose monitoring skills competency checklist is performed by licensed nurses on an annual basis. Use the checklist below. Blood Glucose Monitoring Skills Checklist.
From www.studocu.com
ChecklistON Blood Glucose Monitoring CHECKLIST ON BLOOD GLUCOSE Blood Glucose Monitoring Skills Checklist See the “checklist for blood glucose monitoring” for details regarding the procedure. States understanding of appropriate times to do monitoring. States purpose of the blood glucose monitoring procedure. The glucose monitoring skills competency checklist is performed by licensed nurses on an annual basis. Use the checklist below to review the steps for completion of “blood glucose monitoring.” steps disclaimer: It. Blood Glucose Monitoring Skills Checklist.
From www.studypool.com
SOLUTION Nursing skill blood glucose monitoring Studypool Blood Glucose Monitoring Skills Checklist Read and understood the manufacturer’s instructions and agency policy for the blood glucose meters. Read and understood the manufacturer’s instructions and agency policy for the blood glucose meters. Use the checklist below to review the steps for completion of “blood glucose monitoring.” steps disclaimer: It is often important to keep the patient’s hand warm and in a dependent position to. Blood Glucose Monitoring Skills Checklist.