Lithium Sulfide And Copper (Ii) Nitrate Net Ionic Equation . give the net ionic equation for the reaction that occurs when aqueous solutions of lithium sulfide, li2s, and copper (ii) nitrate, cu. learn how to write the complete ionic equation for the reaction of lithium sulfide and copper (ii) nitrate in aqueous solutions. learn how to write and balance different types of chemical equations, including complete molecular, complete ionic and net ionic. li2s + cu(no3)2 = cus + li(no3) is a double displacement (metathesis) reaction where one mole of aqueous lithium sulfide [li 2 s] and. enter an ionic equation and get its complete and net ionic equations, solubility states, spectator ions and precipitates. this web page provides a practice problem on complete ionic equations for aqueous solutions of lithium sulfide and copper (ii) nitrate. give the complete ionic equation for the reaction (if any) that occurs when aqueous solutions of lithium sulfide and copper (ii).
from oneclass.com
li2s + cu(no3)2 = cus + li(no3) is a double displacement (metathesis) reaction where one mole of aqueous lithium sulfide [li 2 s] and. learn how to write the complete ionic equation for the reaction of lithium sulfide and copper (ii) nitrate in aqueous solutions. learn how to write and balance different types of chemical equations, including complete molecular, complete ionic and net ionic. give the complete ionic equation for the reaction (if any) that occurs when aqueous solutions of lithium sulfide and copper (ii). give the net ionic equation for the reaction that occurs when aqueous solutions of lithium sulfide, li2s, and copper (ii) nitrate, cu. enter an ionic equation and get its complete and net ionic equations, solubility states, spectator ions and precipitates. this web page provides a practice problem on complete ionic equations for aqueous solutions of lithium sulfide and copper (ii) nitrate.
OneClass Write the balanced net ionic equation for the reactions that
Lithium Sulfide And Copper (Ii) Nitrate Net Ionic Equation learn how to write and balance different types of chemical equations, including complete molecular, complete ionic and net ionic. learn how to write the complete ionic equation for the reaction of lithium sulfide and copper (ii) nitrate in aqueous solutions. learn how to write and balance different types of chemical equations, including complete molecular, complete ionic and net ionic. give the complete ionic equation for the reaction (if any) that occurs when aqueous solutions of lithium sulfide and copper (ii). this web page provides a practice problem on complete ionic equations for aqueous solutions of lithium sulfide and copper (ii) nitrate. enter an ionic equation and get its complete and net ionic equations, solubility states, spectator ions and precipitates. li2s + cu(no3)2 = cus + li(no3) is a double displacement (metathesis) reaction where one mole of aqueous lithium sulfide [li 2 s] and. give the net ionic equation for the reaction that occurs when aqueous solutions of lithium sulfide, li2s, and copper (ii) nitrate, cu.
From www.numerade.com
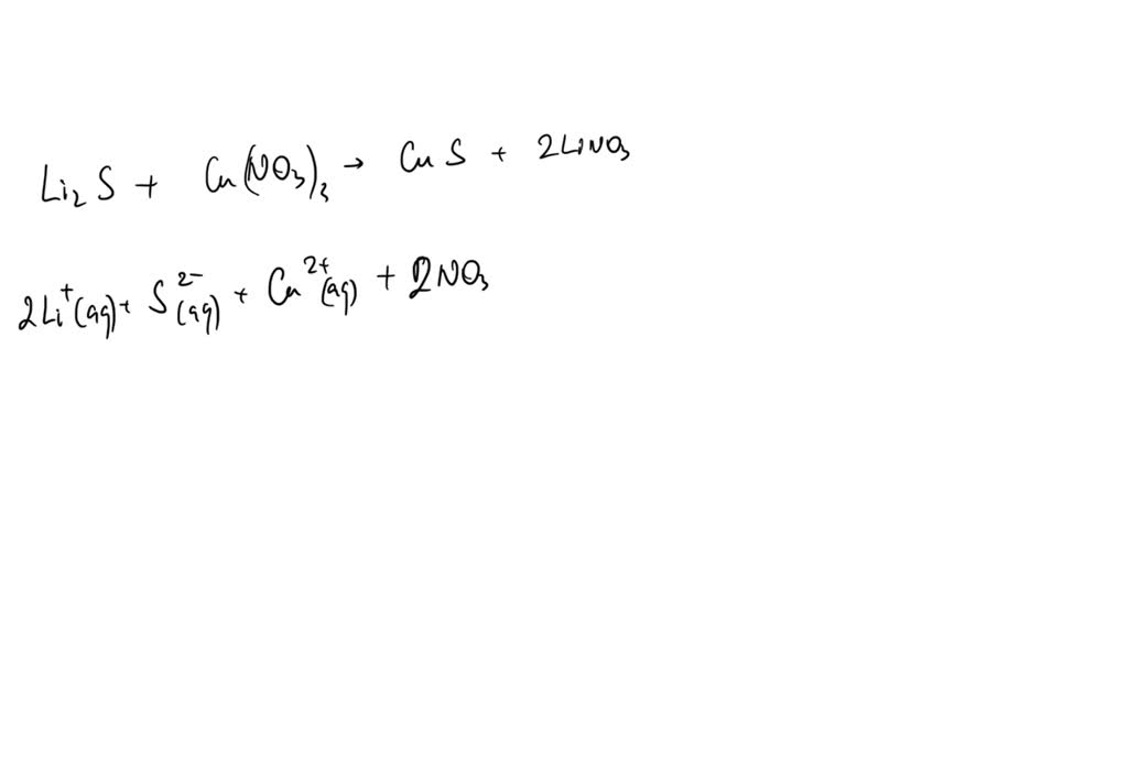
SOLVED Write the net ionic equation for the precipitation reaction Lithium Sulfide And Copper (Ii) Nitrate Net Ionic Equation give the net ionic equation for the reaction that occurs when aqueous solutions of lithium sulfide, li2s, and copper (ii) nitrate, cu. give the complete ionic equation for the reaction (if any) that occurs when aqueous solutions of lithium sulfide and copper (ii). li2s + cu(no3)2 = cus + li(no3) is a double displacement (metathesis) reaction where. Lithium Sulfide And Copper (Ii) Nitrate Net Ionic Equation.
From www.numerade.com
SOLVED Give the complete ionic equation for the reaction (if any) that Lithium Sulfide And Copper (Ii) Nitrate Net Ionic Equation learn how to write and balance different types of chemical equations, including complete molecular, complete ionic and net ionic. li2s + cu(no3)2 = cus + li(no3) is a double displacement (metathesis) reaction where one mole of aqueous lithium sulfide [li 2 s] and. this web page provides a practice problem on complete ionic equations for aqueous solutions. Lithium Sulfide And Copper (Ii) Nitrate Net Ionic Equation.
From www.chegg.com
Solved The Complete Ionic Equation For The Reaction (if A... Lithium Sulfide And Copper (Ii) Nitrate Net Ionic Equation learn how to write the complete ionic equation for the reaction of lithium sulfide and copper (ii) nitrate in aqueous solutions. enter an ionic equation and get its complete and net ionic equations, solubility states, spectator ions and precipitates. li2s + cu(no3)2 = cus + li(no3) is a double displacement (metathesis) reaction where one mole of aqueous. Lithium Sulfide And Copper (Ii) Nitrate Net Ionic Equation.
From www.numerade.com
SOLVED Give the net ionic equation for the reaction (if any) that Lithium Sulfide And Copper (Ii) Nitrate Net Ionic Equation this web page provides a practice problem on complete ionic equations for aqueous solutions of lithium sulfide and copper (ii) nitrate. enter an ionic equation and get its complete and net ionic equations, solubility states, spectator ions and precipitates. give the net ionic equation for the reaction that occurs when aqueous solutions of lithium sulfide, li2s, and. Lithium Sulfide And Copper (Ii) Nitrate Net Ionic Equation.
From www.youtube.com
Precipitation Reactions & Net Ionic Equations Chemistry YouTube Lithium Sulfide And Copper (Ii) Nitrate Net Ionic Equation learn how to write the complete ionic equation for the reaction of lithium sulfide and copper (ii) nitrate in aqueous solutions. learn how to write and balance different types of chemical equations, including complete molecular, complete ionic and net ionic. this web page provides a practice problem on complete ionic equations for aqueous solutions of lithium sulfide. Lithium Sulfide And Copper (Ii) Nitrate Net Ionic Equation.
From www.tessshebaylo.com
Net Ionic Equation Examples Tessshebaylo Lithium Sulfide And Copper (Ii) Nitrate Net Ionic Equation give the complete ionic equation for the reaction (if any) that occurs when aqueous solutions of lithium sulfide and copper (ii). li2s + cu(no3)2 = cus + li(no3) is a double displacement (metathesis) reaction where one mole of aqueous lithium sulfide [li 2 s] and. this web page provides a practice problem on complete ionic equations for. Lithium Sulfide And Copper (Ii) Nitrate Net Ionic Equation.
From exorggbgv.blob.core.windows.net
Copper Ii Sulfate And Ammonium Hydroxide Net Ionic Equation at Jennifer Lithium Sulfide And Copper (Ii) Nitrate Net Ionic Equation give the complete ionic equation for the reaction (if any) that occurs when aqueous solutions of lithium sulfide and copper (ii). learn how to write the complete ionic equation for the reaction of lithium sulfide and copper (ii) nitrate in aqueous solutions. give the net ionic equation for the reaction that occurs when aqueous solutions of lithium. Lithium Sulfide And Copper (Ii) Nitrate Net Ionic Equation.
From www.numerade.com
SOLVED Give the complete ionic equation for the reaction (if any) that Lithium Sulfide And Copper (Ii) Nitrate Net Ionic Equation learn how to write the complete ionic equation for the reaction of lithium sulfide and copper (ii) nitrate in aqueous solutions. give the net ionic equation for the reaction that occurs when aqueous solutions of lithium sulfide, li2s, and copper (ii) nitrate, cu. give the complete ionic equation for the reaction (if any) that occurs when aqueous. Lithium Sulfide And Copper (Ii) Nitrate Net Ionic Equation.
From www.slideserve.com
PPT Chemistry Chapter 11 PowerPoint Presentation ID195379 Lithium Sulfide And Copper (Ii) Nitrate Net Ionic Equation this web page provides a practice problem on complete ionic equations for aqueous solutions of lithium sulfide and copper (ii) nitrate. enter an ionic equation and get its complete and net ionic equations, solubility states, spectator ions and precipitates. give the complete ionic equation for the reaction (if any) that occurs when aqueous solutions of lithium sulfide. Lithium Sulfide And Copper (Ii) Nitrate Net Ionic Equation.
From www.slideserve.com
PPT Reactions Involving Ions Molecular vs. Ionic Equations Lithium Sulfide And Copper (Ii) Nitrate Net Ionic Equation li2s + cu(no3)2 = cus + li(no3) is a double displacement (metathesis) reaction where one mole of aqueous lithium sulfide [li 2 s] and. this web page provides a practice problem on complete ionic equations for aqueous solutions of lithium sulfide and copper (ii) nitrate. give the complete ionic equation for the reaction (if any) that occurs. Lithium Sulfide And Copper (Ii) Nitrate Net Ionic Equation.
From www.youtube.com
How to Write the Net Ionic Equation for K2S + Pb(NO3)2 = KNO3 + PbS Lithium Sulfide And Copper (Ii) Nitrate Net Ionic Equation give the complete ionic equation for the reaction (if any) that occurs when aqueous solutions of lithium sulfide and copper (ii). this web page provides a practice problem on complete ionic equations for aqueous solutions of lithium sulfide and copper (ii) nitrate. enter an ionic equation and get its complete and net ionic equations, solubility states, spectator. Lithium Sulfide And Copper (Ii) Nitrate Net Ionic Equation.
From www.numerade.com
SOLVED Give the complete ionic equation for the reaction between Lithium Sulfide And Copper (Ii) Nitrate Net Ionic Equation give the net ionic equation for the reaction that occurs when aqueous solutions of lithium sulfide, li2s, and copper (ii) nitrate, cu. this web page provides a practice problem on complete ionic equations for aqueous solutions of lithium sulfide and copper (ii) nitrate. li2s + cu(no3)2 = cus + li(no3) is a double displacement (metathesis) reaction where. Lithium Sulfide And Copper (Ii) Nitrate Net Ionic Equation.
From www.numerade.com
SOLVED Give the complete ionic equation for the reaction (if any) that Lithium Sulfide And Copper (Ii) Nitrate Net Ionic Equation give the complete ionic equation for the reaction (if any) that occurs when aqueous solutions of lithium sulfide and copper (ii). li2s + cu(no3)2 = cus + li(no3) is a double displacement (metathesis) reaction where one mole of aqueous lithium sulfide [li 2 s] and. give the net ionic equation for the reaction that occurs when aqueous. Lithium Sulfide And Copper (Ii) Nitrate Net Ionic Equation.
From www.wikihow.com
How to Write a Net Ionic Equation 10 Steps (with Pictures) Lithium Sulfide And Copper (Ii) Nitrate Net Ionic Equation li2s + cu(no3)2 = cus + li(no3) is a double displacement (metathesis) reaction where one mole of aqueous lithium sulfide [li 2 s] and. enter an ionic equation and get its complete and net ionic equations, solubility states, spectator ions and precipitates. give the complete ionic equation for the reaction (if any) that occurs when aqueous solutions. Lithium Sulfide And Copper (Ii) Nitrate Net Ionic Equation.
From shotprofessional22.gitlab.io
Beautiful Silver Nitrate And Copper Ionic Equation Edexcel Igcse Maths Lithium Sulfide And Copper (Ii) Nitrate Net Ionic Equation li2s + cu(no3)2 = cus + li(no3) is a double displacement (metathesis) reaction where one mole of aqueous lithium sulfide [li 2 s] and. give the complete ionic equation for the reaction (if any) that occurs when aqueous solutions of lithium sulfide and copper (ii). learn how to write and balance different types of chemical equations, including. Lithium Sulfide And Copper (Ii) Nitrate Net Ionic Equation.
From baileeghopguzman.blogspot.com
Copper Ii Sulfate and Mercury I Nitrate Lithium Sulfide And Copper (Ii) Nitrate Net Ionic Equation this web page provides a practice problem on complete ionic equations for aqueous solutions of lithium sulfide and copper (ii) nitrate. learn how to write and balance different types of chemical equations, including complete molecular, complete ionic and net ionic. enter an ionic equation and get its complete and net ionic equations, solubility states, spectator ions and. Lithium Sulfide And Copper (Ii) Nitrate Net Ionic Equation.
From slidetodoc.com
lithium nitrate lead II sulfide lithium nitride barium Lithium Sulfide And Copper (Ii) Nitrate Net Ionic Equation learn how to write the complete ionic equation for the reaction of lithium sulfide and copper (ii) nitrate in aqueous solutions. give the complete ionic equation for the reaction (if any) that occurs when aqueous solutions of lithium sulfide and copper (ii). li2s + cu(no3)2 = cus + li(no3) is a double displacement (metathesis) reaction where one. Lithium Sulfide And Copper (Ii) Nitrate Net Ionic Equation.
From www.numerade.com
SOLVED Write the balanced net ionic equation for the reaction of Lithium Sulfide And Copper (Ii) Nitrate Net Ionic Equation give the net ionic equation for the reaction that occurs when aqueous solutions of lithium sulfide, li2s, and copper (ii) nitrate, cu. learn how to write and balance different types of chemical equations, including complete molecular, complete ionic and net ionic. enter an ionic equation and get its complete and net ionic equations, solubility states, spectator ions. Lithium Sulfide And Copper (Ii) Nitrate Net Ionic Equation.
From www.chegg.com
Solved What is the net ionic equation for copper(II) Lithium Sulfide And Copper (Ii) Nitrate Net Ionic Equation enter an ionic equation and get its complete and net ionic equations, solubility states, spectator ions and precipitates. learn how to write and balance different types of chemical equations, including complete molecular, complete ionic and net ionic. give the complete ionic equation for the reaction (if any) that occurs when aqueous solutions of lithium sulfide and copper. Lithium Sulfide And Copper (Ii) Nitrate Net Ionic Equation.
From www.chegg.com
Solved Question 2 Give the complete ionic equation for the Lithium Sulfide And Copper (Ii) Nitrate Net Ionic Equation li2s + cu(no3)2 = cus + li(no3) is a double displacement (metathesis) reaction where one mole of aqueous lithium sulfide [li 2 s] and. learn how to write the complete ionic equation for the reaction of lithium sulfide and copper (ii) nitrate in aqueous solutions. enter an ionic equation and get its complete and net ionic equations,. Lithium Sulfide And Copper (Ii) Nitrate Net Ionic Equation.
From www.numerade.com
SOLVED Write the complete ionic equation and the net ionic equation Lithium Sulfide And Copper (Ii) Nitrate Net Ionic Equation enter an ionic equation and get its complete and net ionic equations, solubility states, spectator ions and precipitates. learn how to write and balance different types of chemical equations, including complete molecular, complete ionic and net ionic. give the complete ionic equation for the reaction (if any) that occurs when aqueous solutions of lithium sulfide and copper. Lithium Sulfide And Copper (Ii) Nitrate Net Ionic Equation.
From solvedlib.com
Write net ionic equations for the reaction, if any, t… SolvedLib Lithium Sulfide And Copper (Ii) Nitrate Net Ionic Equation learn how to write and balance different types of chemical equations, including complete molecular, complete ionic and net ionic. learn how to write the complete ionic equation for the reaction of lithium sulfide and copper (ii) nitrate in aqueous solutions. enter an ionic equation and get its complete and net ionic equations, solubility states, spectator ions and. Lithium Sulfide And Copper (Ii) Nitrate Net Ionic Equation.
From www.numerade.com
A solution of Iron (II) nitrate is poured into a sodium sulfide Lithium Sulfide And Copper (Ii) Nitrate Net Ionic Equation this web page provides a practice problem on complete ionic equations for aqueous solutions of lithium sulfide and copper (ii) nitrate. enter an ionic equation and get its complete and net ionic equations, solubility states, spectator ions and precipitates. give the complete ionic equation for the reaction (if any) that occurs when aqueous solutions of lithium sulfide. Lithium Sulfide And Copper (Ii) Nitrate Net Ionic Equation.
From dxoygaprp.blob.core.windows.net
What Is Molecular And Ionic at Patricia Ledbetter blog Lithium Sulfide And Copper (Ii) Nitrate Net Ionic Equation this web page provides a practice problem on complete ionic equations for aqueous solutions of lithium sulfide and copper (ii) nitrate. enter an ionic equation and get its complete and net ionic equations, solubility states, spectator ions and precipitates. give the complete ionic equation for the reaction (if any) that occurs when aqueous solutions of lithium sulfide. Lithium Sulfide And Copper (Ii) Nitrate Net Ionic Equation.
From oneclass.com
OneClass Write the balanced net ionic equation for the reactions that Lithium Sulfide And Copper (Ii) Nitrate Net Ionic Equation learn how to write and balance different types of chemical equations, including complete molecular, complete ionic and net ionic. li2s + cu(no3)2 = cus + li(no3) is a double displacement (metathesis) reaction where one mole of aqueous lithium sulfide [li 2 s] and. this web page provides a practice problem on complete ionic equations for aqueous solutions. Lithium Sulfide And Copper (Ii) Nitrate Net Ionic Equation.
From www.slideserve.com
PPT Net Ionic in SR PowerPoint Presentation, free download ID5979486 Lithium Sulfide And Copper (Ii) Nitrate Net Ionic Equation give the net ionic equation for the reaction that occurs when aqueous solutions of lithium sulfide, li2s, and copper (ii) nitrate, cu. this web page provides a practice problem on complete ionic equations for aqueous solutions of lithium sulfide and copper (ii) nitrate. learn how to write and balance different types of chemical equations, including complete molecular,. Lithium Sulfide And Copper (Ii) Nitrate Net Ionic Equation.
From questions.kunduz.com
QUESTION 14 Give the complete ionic equat... Physical Chemistry Lithium Sulfide And Copper (Ii) Nitrate Net Ionic Equation give the net ionic equation for the reaction that occurs when aqueous solutions of lithium sulfide, li2s, and copper (ii) nitrate, cu. enter an ionic equation and get its complete and net ionic equations, solubility states, spectator ions and precipitates. learn how to write the complete ionic equation for the reaction of lithium sulfide and copper (ii). Lithium Sulfide And Copper (Ii) Nitrate Net Ionic Equation.
From www.coursehero.com
[Solved] write the molecular, ionic, and net ionic equation Lithium Sulfide And Copper (Ii) Nitrate Net Ionic Equation learn how to write the complete ionic equation for the reaction of lithium sulfide and copper (ii) nitrate in aqueous solutions. learn how to write and balance different types of chemical equations, including complete molecular, complete ionic and net ionic. this web page provides a practice problem on complete ionic equations for aqueous solutions of lithium sulfide. Lithium Sulfide And Copper (Ii) Nitrate Net Ionic Equation.
From www.numerade.com
SOLVEDWithout first writing a full molecular or ionic equation, write Lithium Sulfide And Copper (Ii) Nitrate Net Ionic Equation li2s + cu(no3)2 = cus + li(no3) is a double displacement (metathesis) reaction where one mole of aqueous lithium sulfide [li 2 s] and. learn how to write the complete ionic equation for the reaction of lithium sulfide and copper (ii) nitrate in aqueous solutions. learn how to write and balance different types of chemical equations, including. Lithium Sulfide And Copper (Ii) Nitrate Net Ionic Equation.
From studylib.net
Net Ionic Equations Lithium Sulfide And Copper (Ii) Nitrate Net Ionic Equation learn how to write and balance different types of chemical equations, including complete molecular, complete ionic and net ionic. enter an ionic equation and get its complete and net ionic equations, solubility states, spectator ions and precipitates. learn how to write the complete ionic equation for the reaction of lithium sulfide and copper (ii) nitrate in aqueous. Lithium Sulfide And Copper (Ii) Nitrate Net Ionic Equation.
From www.chegg.com
Solved What is the net ionic equation for the reaction of Lithium Sulfide And Copper (Ii) Nitrate Net Ionic Equation learn how to write the complete ionic equation for the reaction of lithium sulfide and copper (ii) nitrate in aqueous solutions. give the net ionic equation for the reaction that occurs when aqueous solutions of lithium sulfide, li2s, and copper (ii) nitrate, cu. this web page provides a practice problem on complete ionic equations for aqueous solutions. Lithium Sulfide And Copper (Ii) Nitrate Net Ionic Equation.
From www.chegg.com
Solved What is the net ionic equation for Copper (ii) Lithium Sulfide And Copper (Ii) Nitrate Net Ionic Equation learn how to write the complete ionic equation for the reaction of lithium sulfide and copper (ii) nitrate in aqueous solutions. enter an ionic equation and get its complete and net ionic equations, solubility states, spectator ions and precipitates. give the complete ionic equation for the reaction (if any) that occurs when aqueous solutions of lithium sulfide. Lithium Sulfide And Copper (Ii) Nitrate Net Ionic Equation.
From www.youtube.com
How to Write the Net Ionic Equation for Cu(NO3)2 + (NH4)2S = CuS Lithium Sulfide And Copper (Ii) Nitrate Net Ionic Equation give the complete ionic equation for the reaction (if any) that occurs when aqueous solutions of lithium sulfide and copper (ii). learn how to write the complete ionic equation for the reaction of lithium sulfide and copper (ii) nitrate in aqueous solutions. give the net ionic equation for the reaction that occurs when aqueous solutions of lithium. Lithium Sulfide And Copper (Ii) Nitrate Net Ionic Equation.
From scihub.world
Agcl + Nh3 Net Ionic Equation Lithium Sulfide And Copper (Ii) Nitrate Net Ionic Equation learn how to write and balance different types of chemical equations, including complete molecular, complete ionic and net ionic. learn how to write the complete ionic equation for the reaction of lithium sulfide and copper (ii) nitrate in aqueous solutions. enter an ionic equation and get its complete and net ionic equations, solubility states, spectator ions and. Lithium Sulfide And Copper (Ii) Nitrate Net Ionic Equation.
From gbu-taganskij.ru
Net Ionic Equation And Complete Ionic Equation, 59 OFF Lithium Sulfide And Copper (Ii) Nitrate Net Ionic Equation enter an ionic equation and get its complete and net ionic equations, solubility states, spectator ions and precipitates. this web page provides a practice problem on complete ionic equations for aqueous solutions of lithium sulfide and copper (ii) nitrate. li2s + cu(no3)2 = cus + li(no3) is a double displacement (metathesis) reaction where one mole of aqueous. Lithium Sulfide And Copper (Ii) Nitrate Net Ionic Equation.