What Is Engine Revs . Keep reading to learn how to gun it in your manual or automatic car. Horsepower is a function of torque and engine rpm. however, rev hang is when the engine speed doesn’t immediately drop once the clutch is actuated, and instead descends very slowly, as if there were some form of. Engines are rotating machines and the speed is measured in revolutions per. Allow the engine to reach operating temperature. these steps will cover how to rev the engine in a car equipped with a manual transmission. Warm up a cold engine. revving engine means elevating the rpm (revolutions or rotation per minute) level above idle. gunning your engine is a fun way to show off just how powerful your car is. engine revs are a measure of the engines speed. Simply put, power is the biggest benefit of a high revving engine. if you've driven a modern car with a manual transmission recently, you've probably experienced rev hang: Whether you want to rev your engine while parked or rev it while you’re driving, we’ve got you covered. Increase max rpm or torque,. What's the benefit of a high revving engine?
from garagesee.com
however, rev hang is when the engine speed doesn’t immediately drop once the clutch is actuated, and instead descends very slowly, as if there were some form of. Engines are rotating machines and the speed is measured in revolutions per. Horsepower is a function of torque and engine rpm. if you've driven a modern car with a manual transmission recently, you've probably experienced rev hang: Warm up a cold engine. engine revs are a measure of the engines speed. Whether you want to rev your engine while parked or rev it while you’re driving, we’ve got you covered. Keep reading to learn how to gun it in your manual or automatic car. Simply put, power is the biggest benefit of a high revving engine. these steps will cover how to rev the engine in a car equipped with a manual transmission.
How To Rev Your Engine While Driving
What Is Engine Revs these steps will cover how to rev the engine in a car equipped with a manual transmission. Keep reading to learn how to gun it in your manual or automatic car. Engines are rotating machines and the speed is measured in revolutions per. gunning your engine is a fun way to show off just how powerful your car is. however, rev hang is when the engine speed doesn’t immediately drop once the clutch is actuated, and instead descends very slowly, as if there were some form of. Simply put, power is the biggest benefit of a high revving engine. if you've driven a modern car with a manual transmission recently, you've probably experienced rev hang: these steps will cover how to rev the engine in a car equipped with a manual transmission. revving engine means elevating the rpm (revolutions or rotation per minute) level above idle. Warm up a cold engine. Allow the engine to reach operating temperature. Increase max rpm or torque,. What's the benefit of a high revving engine? Whether you want to rev your engine while parked or rev it while you’re driving, we’ve got you covered. Horsepower is a function of torque and engine rpm. engine revs are a measure of the engines speed.
From www.autoevolution.com
World's Smallest Rotary Engine Revs Up to 30,000 RPM, Could Be Fun in an RC Car autoevolution What Is Engine Revs What's the benefit of a high revving engine? Horsepower is a function of torque and engine rpm. these steps will cover how to rev the engine in a car equipped with a manual transmission. Warm up a cold engine. revving engine means elevating the rpm (revolutions or rotation per minute) level above idle. Keep reading to learn how. What Is Engine Revs.
From obucite1kmgaragerepair.z21.web.core.windows.net
Adjust Idle Revs On A Pure Tech Engine What Is Engine Revs if you've driven a modern car with a manual transmission recently, you've probably experienced rev hang: Engines are rotating machines and the speed is measured in revolutions per. Allow the engine to reach operating temperature. however, rev hang is when the engine speed doesn’t immediately drop once the clutch is actuated, and instead descends very slowly, as if. What Is Engine Revs.
From carsupercare.com
Car Engine Revs When Braking Causes & How To Fix It! Car Super Care What Is Engine Revs revving engine means elevating the rpm (revolutions or rotation per minute) level above idle. Whether you want to rev your engine while parked or rev it while you’re driving, we’ve got you covered. Simply put, power is the biggest benefit of a high revving engine. engine revs are a measure of the engines speed. Warm up a cold. What Is Engine Revs.
From www.reddit.com
Engine revs high on cold start? r/CivicSi What Is Engine Revs however, rev hang is when the engine speed doesn’t immediately drop once the clutch is actuated, and instead descends very slowly, as if there were some form of. if you've driven a modern car with a manual transmission recently, you've probably experienced rev hang: these steps will cover how to rev the engine in a car equipped. What Is Engine Revs.
From workshoprepairextremal.z22.web.core.windows.net
Highest Rev Engine What Is Engine Revs Simply put, power is the biggest benefit of a high revving engine. Warm up a cold engine. however, rev hang is when the engine speed doesn’t immediately drop once the clutch is actuated, and instead descends very slowly, as if there were some form of. What's the benefit of a high revving engine? these steps will cover how. What Is Engine Revs.
From garagefixfaccendawe.z14.web.core.windows.net
Small Engine Revving Up And Down What Is Engine Revs Whether you want to rev your engine while parked or rev it while you’re driving, we’ve got you covered. Allow the engine to reach operating temperature. Warm up a cold engine. What's the benefit of a high revving engine? Simply put, power is the biggest benefit of a high revving engine. these steps will cover how to rev the. What Is Engine Revs.
From fixrepairconsultors.z22.web.core.windows.net
Rev 6 Engines And Parts What Is Engine Revs Engines are rotating machines and the speed is measured in revolutions per. Whether you want to rev your engine while parked or rev it while you’re driving, we’ve got you covered. however, rev hang is when the engine speed doesn’t immediately drop once the clutch is actuated, and instead descends very slowly, as if there were some form of.. What Is Engine Revs.
From rondawel1glfixmachine.z13.web.core.windows.net
Engine Revs Up And Down While Driving What Is Engine Revs Increase max rpm or torque,. engine revs are a measure of the engines speed. Simply put, power is the biggest benefit of a high revving engine. Warm up a cold engine. Keep reading to learn how to gun it in your manual or automatic car. gunning your engine is a fun way to show off just how powerful. What Is Engine Revs.
From www.youtube.com
Engine revs YouTube What Is Engine Revs Increase max rpm or torque,. Engines are rotating machines and the speed is measured in revolutions per. if you've driven a modern car with a manual transmission recently, you've probably experienced rev hang: gunning your engine is a fun way to show off just how powerful your car is. Keep reading to learn how to gun it in. What Is Engine Revs.
From garagexiphopagus.z21.web.core.windows.net
Engine Revs While Idling What Is Engine Revs Warm up a cold engine. Keep reading to learn how to gun it in your manual or automatic car. Engines are rotating machines and the speed is measured in revolutions per. these steps will cover how to rev the engine in a car equipped with a manual transmission. Allow the engine to reach operating temperature. revving engine means. What Is Engine Revs.
From vehq.com
How To Rev A Car in 4 Simple Steps What Is Engine Revs Keep reading to learn how to gun it in your manual or automatic car. Warm up a cold engine. Simply put, power is the biggest benefit of a high revving engine. Increase max rpm or torque,. Whether you want to rev your engine while parked or rev it while you’re driving, we’ve got you covered. however, rev hang is. What Is Engine Revs.
From garagesee.com
How To Rev Your Engine While Driving What Is Engine Revs Whether you want to rev your engine while parked or rev it while you’re driving, we’ve got you covered. What's the benefit of a high revving engine? if you've driven a modern car with a manual transmission recently, you've probably experienced rev hang: Engines are rotating machines and the speed is measured in revolutions per. Keep reading to learn. What Is Engine Revs.
From newatlas.com
1/4 of the world's highestrevving production car engine hits the dyno What Is Engine Revs Whether you want to rev your engine while parked or rev it while you’re driving, we’ve got you covered. Engines are rotating machines and the speed is measured in revolutions per. these steps will cover how to rev the engine in a car equipped with a manual transmission. Increase max rpm or torque,. gunning your engine is a. What Is Engine Revs.
From www.wikihow.com
How to Rev a Car Engine Manual & Automatic Cars What Is Engine Revs Warm up a cold engine. engine revs are a measure of the engines speed. if you've driven a modern car with a manual transmission recently, you've probably experienced rev hang: these steps will cover how to rev the engine in a car equipped with a manual transmission. Allow the engine to reach operating temperature. Horsepower is a. What Is Engine Revs.
From altdriver.com
Badass RC Engine Revs Over 13,000 RPM alt_driver What Is Engine Revs Warm up a cold engine. gunning your engine is a fun way to show off just how powerful your car is. Horsepower is a function of torque and engine rpm. revving engine means elevating the rpm (revolutions or rotation per minute) level above idle. Whether you want to rev your engine while parked or rev it while you’re. What Is Engine Revs.
From workshoprepairextremal.z22.web.core.windows.net
Highest Rev Engine What Is Engine Revs What's the benefit of a high revving engine? Warm up a cold engine. Allow the engine to reach operating temperature. Keep reading to learn how to gun it in your manual or automatic car. these steps will cover how to rev the engine in a car equipped with a manual transmission. Increase max rpm or torque,. gunning your. What Is Engine Revs.
From www.youtube.com
How To Rev The Engine In An Automatic CarDriving Tutorial YouTube What Is Engine Revs Engines are rotating machines and the speed is measured in revolutions per. Increase max rpm or torque,. Allow the engine to reach operating temperature. revving engine means elevating the rpm (revolutions or rotation per minute) level above idle. engine revs are a measure of the engines speed. Simply put, power is the biggest benefit of a high revving. What Is Engine Revs.
From rerev.com
How to rev a car by transmission type REREV What Is Engine Revs Allow the engine to reach operating temperature. Warm up a cold engine. Engines are rotating machines and the speed is measured in revolutions per. if you've driven a modern car with a manual transmission recently, you've probably experienced rev hang: however, rev hang is when the engine speed doesn’t immediately drop once the clutch is actuated, and instead. What Is Engine Revs.
From www.enginelabs.com
Three Of The Highest Revving SingleCylinder Engines Ever Made What Is Engine Revs Keep reading to learn how to gun it in your manual or automatic car. Allow the engine to reach operating temperature. revving engine means elevating the rpm (revolutions or rotation per minute) level above idle. Engines are rotating machines and the speed is measured in revolutions per. gunning your engine is a fun way to show off just. What Is Engine Revs.
From garagexiphopagus.z21.web.core.windows.net
Engine Revs Up And Down What Is Engine Revs revving engine means elevating the rpm (revolutions or rotation per minute) level above idle. these steps will cover how to rev the engine in a car equipped with a manual transmission. Keep reading to learn how to gun it in your manual or automatic car. however, rev hang is when the engine speed doesn’t immediately drop once. What Is Engine Revs.
From workshopfixsuhrboomed.z21.web.core.windows.net
Engine Revving Up And Down What Is Engine Revs gunning your engine is a fun way to show off just how powerful your car is. What's the benefit of a high revving engine? Engines are rotating machines and the speed is measured in revolutions per. Keep reading to learn how to gun it in your manual or automatic car. Allow the engine to reach operating temperature. however,. What Is Engine Revs.
From dxozvuoib.blob.core.windows.net
Car Engine Rev at Sabrina Stuart blog What Is Engine Revs Simply put, power is the biggest benefit of a high revving engine. engine revs are a measure of the engines speed. Whether you want to rev your engine while parked or rev it while you’re driving, we’ve got you covered. gunning your engine is a fun way to show off just how powerful your car is. however,. What Is Engine Revs.
From www.motor1.com
Watch And Listen As SmallScale V12 Engine Revs To 11,500 RPM What Is Engine Revs Keep reading to learn how to gun it in your manual or automatic car. Engines are rotating machines and the speed is measured in revolutions per. Horsepower is a function of torque and engine rpm. Warm up a cold engine. if you've driven a modern car with a manual transmission recently, you've probably experienced rev hang: revving engine. What Is Engine Revs.
From diagramlistsango.z4.web.core.windows.net
What Is A Pushrod Engine What Is Engine Revs Keep reading to learn how to gun it in your manual or automatic car. engine revs are a measure of the engines speed. What's the benefit of a high revving engine? Warm up a cold engine. Whether you want to rev your engine while parked or rev it while you’re driving, we’ve got you covered. Allow the engine to. What Is Engine Revs.
From fixengineopitymiuc.z14.web.core.windows.net
Why Is My Engine Revving High What Is Engine Revs Increase max rpm or torque,. gunning your engine is a fun way to show off just how powerful your car is. however, rev hang is when the engine speed doesn’t immediately drop once the clutch is actuated, and instead descends very slowly, as if there were some form of. Simply put, power is the biggest benefit of a. What Is Engine Revs.
From hinative.com
🆚What is the difference between "Engine runs" and "Engine revolves" and "Engine revs" and What Is Engine Revs Whether you want to rev your engine while parked or rev it while you’re driving, we’ve got you covered. however, rev hang is when the engine speed doesn’t immediately drop once the clutch is actuated, and instead descends very slowly, as if there were some form of. What's the benefit of a high revving engine? Increase max rpm or. What Is Engine Revs.
From www.youtube.com
Engine revs YouTube What Is Engine Revs Allow the engine to reach operating temperature. engine revs are a measure of the engines speed. gunning your engine is a fun way to show off just how powerful your car is. Engines are rotating machines and the speed is measured in revolutions per. these steps will cover how to rev the engine in a car equipped. What Is Engine Revs.
From www.youtube.com
How to rev an engine from the engine bay YouTube What Is Engine Revs if you've driven a modern car with a manual transmission recently, you've probably experienced rev hang: Whether you want to rev your engine while parked or rev it while you’re driving, we’ve got you covered. gunning your engine is a fun way to show off just how powerful your car is. Warm up a cold engine. engine. What Is Engine Revs.
From www.numerade.com
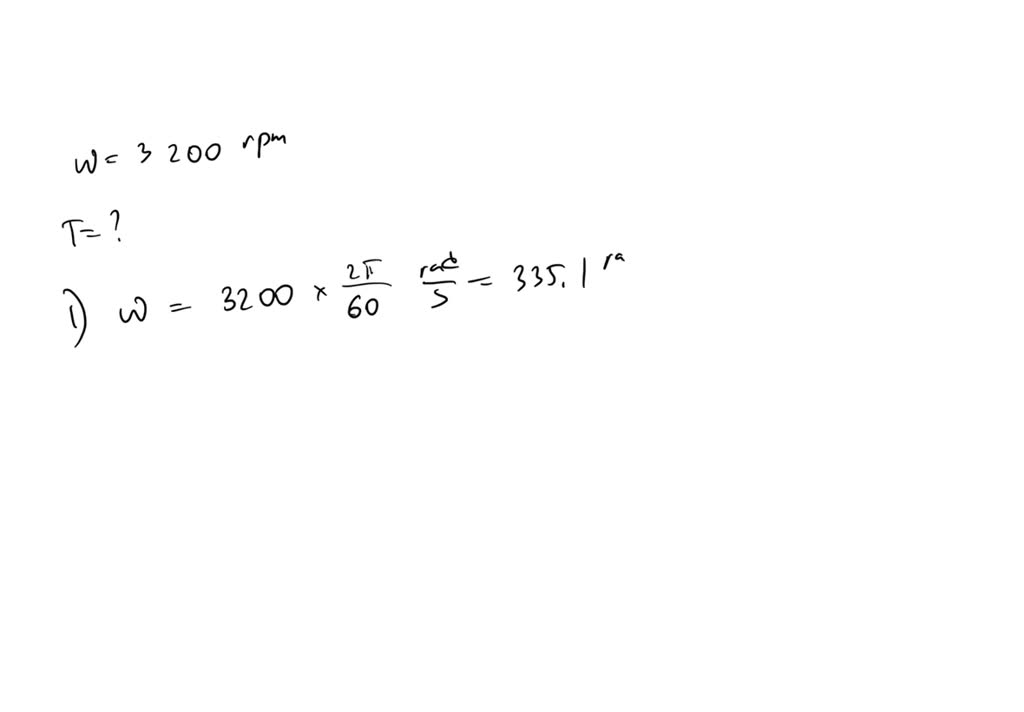
SOLVED A car's engine revs at 3,200 rpm (rev/min). What is the period of the engine, in What Is Engine Revs revving engine means elevating the rpm (revolutions or rotation per minute) level above idle. Allow the engine to reach operating temperature. Keep reading to learn how to gun it in your manual or automatic car. What's the benefit of a high revving engine? these steps will cover how to rev the engine in a car equipped with a. What Is Engine Revs.
From www.revzilla.com
Why do engines have a rev limit? RevZilla What Is Engine Revs revving engine means elevating the rpm (revolutions or rotation per minute) level above idle. however, rev hang is when the engine speed doesn’t immediately drop once the clutch is actuated, and instead descends very slowly, as if there were some form of. Simply put, power is the biggest benefit of a high revving engine. gunning your engine. What Is Engine Revs.
From www.youtube.com
Engine Revving Up and Down at Idle FIXED YouTube What Is Engine Revs however, rev hang is when the engine speed doesn’t immediately drop once the clutch is actuated, and instead descends very slowly, as if there were some form of. engine revs are a measure of the engines speed. Engines are rotating machines and the speed is measured in revolutions per. if you've driven a modern car with a. What Is Engine Revs.
From exoeqjxxj.blob.core.windows.net
Revving Engine Definition at Sherry Miller blog What Is Engine Revs engine revs are a measure of the engines speed. Warm up a cold engine. Keep reading to learn how to gun it in your manual or automatic car. these steps will cover how to rev the engine in a car equipped with a manual transmission. gunning your engine is a fun way to show off just how. What Is Engine Revs.
From exoblfilw.blob.core.windows.net
What Causes Engine To Rev Up And Down at Benjamin Clift blog What Is Engine Revs Engines are rotating machines and the speed is measured in revolutions per. revving engine means elevating the rpm (revolutions or rotation per minute) level above idle. gunning your engine is a fun way to show off just how powerful your car is. Keep reading to learn how to gun it in your manual or automatic car. Horsepower is. What Is Engine Revs.
From www.youtube.com
7 Highest Revving US Production Engines YouTube What Is Engine Revs Engines are rotating machines and the speed is measured in revolutions per. Allow the engine to reach operating temperature. these steps will cover how to rev the engine in a car equipped with a manual transmission. revving engine means elevating the rpm (revolutions or rotation per minute) level above idle. if you've driven a modern car with. What Is Engine Revs.
From schematicbrustlage0d.z22.web.core.windows.net
Engine Exploded View Diagram What Is Engine Revs Allow the engine to reach operating temperature. Increase max rpm or torque,. Whether you want to rev your engine while parked or rev it while you’re driving, we’ve got you covered. gunning your engine is a fun way to show off just how powerful your car is. if you've driven a modern car with a manual transmission recently,. What Is Engine Revs.