Aluminum Chloride And Hydrogen Gas . Aluminum chloride reacts dramatically with water. Aluminum reacts with excess hydrochloric acid to form aqueous aluminum chloride and 46.5 ml of hydrogen gas over. Determine the type of reaction: This is a single displacement reaction, where aluminum replaces hydrogen in hydrochloric. A drop of water placed onto solid aluminum chloride produces steamy clouds of hydrogen. Aluminium metal will react with dilute hydrochloric acid to produce aqueous aluminium chloride, #alcl_3#, and hydrogen.
from www.numerade.com
This is a single displacement reaction, where aluminum replaces hydrogen in hydrochloric. Aluminium metal will react with dilute hydrochloric acid to produce aqueous aluminium chloride, #alcl_3#, and hydrogen. A drop of water placed onto solid aluminum chloride produces steamy clouds of hydrogen. Aluminum chloride reacts dramatically with water. Aluminum reacts with excess hydrochloric acid to form aqueous aluminum chloride and 46.5 ml of hydrogen gas over. Determine the type of reaction:
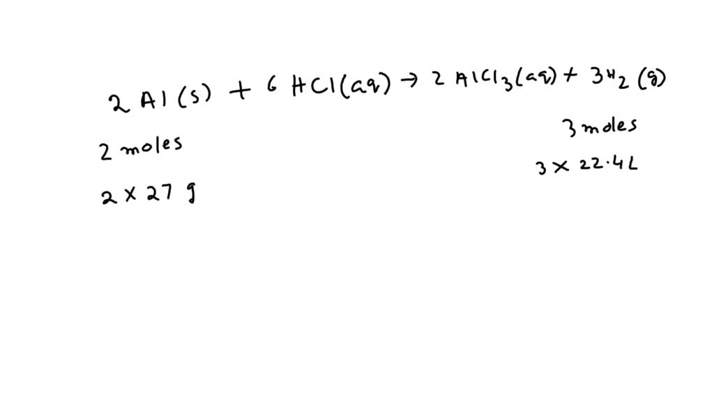
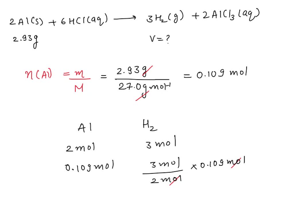
SOLVED Aluminum metal reacts with HCI to produce aluminum chloride and
Aluminum Chloride And Hydrogen Gas This is a single displacement reaction, where aluminum replaces hydrogen in hydrochloric. Determine the type of reaction: Aluminum reacts with excess hydrochloric acid to form aqueous aluminum chloride and 46.5 ml of hydrogen gas over. A drop of water placed onto solid aluminum chloride produces steamy clouds of hydrogen. Aluminum chloride reacts dramatically with water. This is a single displacement reaction, where aluminum replaces hydrogen in hydrochloric. Aluminium metal will react with dilute hydrochloric acid to produce aqueous aluminium chloride, #alcl_3#, and hydrogen.
From material-properties.org
Hydrogen and Oxygen Comparison Properties Material Properties Aluminum Chloride And Hydrogen Gas This is a single displacement reaction, where aluminum replaces hydrogen in hydrochloric. Aluminum chloride reacts dramatically with water. Determine the type of reaction: A drop of water placed onto solid aluminum chloride produces steamy clouds of hydrogen. Aluminum reacts with excess hydrochloric acid to form aqueous aluminum chloride and 46.5 ml of hydrogen gas over. Aluminium metal will react with. Aluminum Chloride And Hydrogen Gas.
From www.numerade.com
SOLVED Question 10 (6 points) Solid aluminum reacts with hydrochloric Aluminum Chloride And Hydrogen Gas This is a single displacement reaction, where aluminum replaces hydrogen in hydrochloric. Aluminium metal will react with dilute hydrochloric acid to produce aqueous aluminium chloride, #alcl_3#, and hydrogen. A drop of water placed onto solid aluminum chloride produces steamy clouds of hydrogen. Determine the type of reaction: Aluminum chloride reacts dramatically with water. Aluminum reacts with excess hydrochloric acid to. Aluminum Chloride And Hydrogen Gas.
From solvedlib.com
Aluminum reacts with chlorine gas to form aluminum ch… SolvedLib Aluminum Chloride And Hydrogen Gas Aluminium metal will react with dilute hydrochloric acid to produce aqueous aluminium chloride, #alcl_3#, and hydrogen. Determine the type of reaction: A drop of water placed onto solid aluminum chloride produces steamy clouds of hydrogen. This is a single displacement reaction, where aluminum replaces hydrogen in hydrochloric. Aluminum chloride reacts dramatically with water. Aluminum reacts with excess hydrochloric acid to. Aluminum Chloride And Hydrogen Gas.
From hydrogenchloridemekaiga.blogspot.com
Hydrogen Chloride Hydrogen Chloride Reaction With Aluminum Aluminum Chloride And Hydrogen Gas This is a single displacement reaction, where aluminum replaces hydrogen in hydrochloric. Determine the type of reaction: Aluminum reacts with excess hydrochloric acid to form aqueous aluminum chloride and 46.5 ml of hydrogen gas over. A drop of water placed onto solid aluminum chloride produces steamy clouds of hydrogen. Aluminium metal will react with dilute hydrochloric acid to produce aqueous. Aluminum Chloride And Hydrogen Gas.
From brainly.in
Aluminum reacts with excess hydrochloric acid to form aqueous aluminum Aluminum Chloride And Hydrogen Gas Aluminium metal will react with dilute hydrochloric acid to produce aqueous aluminium chloride, #alcl_3#, and hydrogen. This is a single displacement reaction, where aluminum replaces hydrogen in hydrochloric. Determine the type of reaction: Aluminum reacts with excess hydrochloric acid to form aqueous aluminum chloride and 46.5 ml of hydrogen gas over. A drop of water placed onto solid aluminum chloride. Aluminum Chloride And Hydrogen Gas.
From www.numerade.com
SOLVED Aluminum metal reacts with HCI to produce aluminum chloride and Aluminum Chloride And Hydrogen Gas This is a single displacement reaction, where aluminum replaces hydrogen in hydrochloric. Aluminium metal will react with dilute hydrochloric acid to produce aqueous aluminium chloride, #alcl_3#, and hydrogen. A drop of water placed onto solid aluminum chloride produces steamy clouds of hydrogen. Determine the type of reaction: Aluminum chloride reacts dramatically with water. Aluminum reacts with excess hydrochloric acid to. Aluminum Chloride And Hydrogen Gas.
From www.chegg.com
Solved Aluminum reacts with hydrochloric acid to give Aluminum Chloride And Hydrogen Gas Determine the type of reaction: Aluminium metal will react with dilute hydrochloric acid to produce aqueous aluminium chloride, #alcl_3#, and hydrogen. Aluminum chloride reacts dramatically with water. A drop of water placed onto solid aluminum chloride produces steamy clouds of hydrogen. This is a single displacement reaction, where aluminum replaces hydrogen in hydrochloric. Aluminum reacts with excess hydrochloric acid to. Aluminum Chloride And Hydrogen Gas.
From slideplayer.com
Balancing Word Equations ppt download Aluminum Chloride And Hydrogen Gas Aluminum reacts with excess hydrochloric acid to form aqueous aluminum chloride and 46.5 ml of hydrogen gas over. Aluminum chloride reacts dramatically with water. Aluminium metal will react with dilute hydrochloric acid to produce aqueous aluminium chloride, #alcl_3#, and hydrogen. This is a single displacement reaction, where aluminum replaces hydrogen in hydrochloric. A drop of water placed onto solid aluminum. Aluminum Chloride And Hydrogen Gas.
From www.numerade.com
SOLVED Aluminum metal reacts with HCI to produce aluminum chloride and Aluminum Chloride And Hydrogen Gas A drop of water placed onto solid aluminum chloride produces steamy clouds of hydrogen. Aluminum chloride reacts dramatically with water. This is a single displacement reaction, where aluminum replaces hydrogen in hydrochloric. Aluminum reacts with excess hydrochloric acid to form aqueous aluminum chloride and 46.5 ml of hydrogen gas over. Aluminium metal will react with dilute hydrochloric acid to produce. Aluminum Chloride And Hydrogen Gas.
From www.numerade.com
SOLVED Aluminum reacts with hydrochloric acid to produce aluminum Aluminum Chloride And Hydrogen Gas Aluminium metal will react with dilute hydrochloric acid to produce aqueous aluminium chloride, #alcl_3#, and hydrogen. Aluminum reacts with excess hydrochloric acid to form aqueous aluminum chloride and 46.5 ml of hydrogen gas over. This is a single displacement reaction, where aluminum replaces hydrogen in hydrochloric. Determine the type of reaction: Aluminum chloride reacts dramatically with water. A drop of. Aluminum Chloride And Hydrogen Gas.
From www.numerade.com
SOLVED Aluminum chloride and bubbles of hydrogen gas are produced when Aluminum Chloride And Hydrogen Gas Aluminium metal will react with dilute hydrochloric acid to produce aqueous aluminium chloride, #alcl_3#, and hydrogen. Determine the type of reaction: Aluminum chloride reacts dramatically with water. A drop of water placed onto solid aluminum chloride produces steamy clouds of hydrogen. Aluminum reacts with excess hydrochloric acid to form aqueous aluminum chloride and 46.5 ml of hydrogen gas over. This. Aluminum Chloride And Hydrogen Gas.
From www.numerade.com
SOLVED Aluminum metal reacts with hydrochloric acid to form aluminum Aluminum Chloride And Hydrogen Gas This is a single displacement reaction, where aluminum replaces hydrogen in hydrochloric. Aluminium metal will react with dilute hydrochloric acid to produce aqueous aluminium chloride, #alcl_3#, and hydrogen. Aluminum reacts with excess hydrochloric acid to form aqueous aluminum chloride and 46.5 ml of hydrogen gas over. A drop of water placed onto solid aluminum chloride produces steamy clouds of hydrogen.. Aluminum Chloride And Hydrogen Gas.
From www.chegg.com
Solved Write the balance chemical equation to show the Aluminum Chloride And Hydrogen Gas A drop of water placed onto solid aluminum chloride produces steamy clouds of hydrogen. Aluminium metal will react with dilute hydrochloric acid to produce aqueous aluminium chloride, #alcl_3#, and hydrogen. Aluminum reacts with excess hydrochloric acid to form aqueous aluminum chloride and 46.5 ml of hydrogen gas over. Determine the type of reaction: This is a single displacement reaction, where. Aluminum Chloride And Hydrogen Gas.
From www.chegg.com
Solved 6 1 point Aluminum reacts with hydrogen chloride to Aluminum Chloride And Hydrogen Gas Aluminium metal will react with dilute hydrochloric acid to produce aqueous aluminium chloride, #alcl_3#, and hydrogen. Determine the type of reaction: Aluminum chloride reacts dramatically with water. A drop of water placed onto solid aluminum chloride produces steamy clouds of hydrogen. Aluminum reacts with excess hydrochloric acid to form aqueous aluminum chloride and 46.5 ml of hydrogen gas over. This. Aluminum Chloride And Hydrogen Gas.
From www.gauthmath.com
Solved Stoichiometry WS Aluminum metal reacts with hydrochloric acid Aluminum Chloride And Hydrogen Gas Aluminum chloride reacts dramatically with water. A drop of water placed onto solid aluminum chloride produces steamy clouds of hydrogen. Determine the type of reaction: Aluminium metal will react with dilute hydrochloric acid to produce aqueous aluminium chloride, #alcl_3#, and hydrogen. Aluminum reacts with excess hydrochloric acid to form aqueous aluminum chloride and 46.5 ml of hydrogen gas over. This. Aluminum Chloride And Hydrogen Gas.
From www.chegg.com
Solved Aluminum reacts with hydrochloric acid to produce Aluminum Chloride And Hydrogen Gas Aluminium metal will react with dilute hydrochloric acid to produce aqueous aluminium chloride, #alcl_3#, and hydrogen. Aluminum reacts with excess hydrochloric acid to form aqueous aluminum chloride and 46.5 ml of hydrogen gas over. A drop of water placed onto solid aluminum chloride produces steamy clouds of hydrogen. Aluminum chloride reacts dramatically with water. This is a single displacement reaction,. Aluminum Chloride And Hydrogen Gas.
From www.chegg.com
Solved When aluminum, Al, metal is dipped in an aqueous Aluminum Chloride And Hydrogen Gas This is a single displacement reaction, where aluminum replaces hydrogen in hydrochloric. A drop of water placed onto solid aluminum chloride produces steamy clouds of hydrogen. Aluminum reacts with excess hydrochloric acid to form aqueous aluminum chloride and 46.5 ml of hydrogen gas over. Aluminium metal will react with dilute hydrochloric acid to produce aqueous aluminium chloride, #alcl_3#, and hydrogen.. Aluminum Chloride And Hydrogen Gas.
From www.chegg.com
Solved Aluminum metal reacts with hydrochloric acid to Aluminum Chloride And Hydrogen Gas Aluminum chloride reacts dramatically with water. Aluminium metal will react with dilute hydrochloric acid to produce aqueous aluminium chloride, #alcl_3#, and hydrogen. Determine the type of reaction: A drop of water placed onto solid aluminum chloride produces steamy clouds of hydrogen. This is a single displacement reaction, where aluminum replaces hydrogen in hydrochloric. Aluminum reacts with excess hydrochloric acid to. Aluminum Chloride And Hydrogen Gas.
From brainly.in
Ionic bond of aluminium chloride with diagram Brainly.in Aluminum Chloride And Hydrogen Gas A drop of water placed onto solid aluminum chloride produces steamy clouds of hydrogen. Aluminum reacts with excess hydrochloric acid to form aqueous aluminum chloride and 46.5 ml of hydrogen gas over. This is a single displacement reaction, where aluminum replaces hydrogen in hydrochloric. Aluminium metal will react with dilute hydrochloric acid to produce aqueous aluminium chloride, #alcl_3#, and hydrogen.. Aluminum Chloride And Hydrogen Gas.
From www.chegg.com
Solved 41. aluminum reacts with hydrochloric acid, producing Aluminum Chloride And Hydrogen Gas Aluminium metal will react with dilute hydrochloric acid to produce aqueous aluminium chloride, #alcl_3#, and hydrogen. Determine the type of reaction: Aluminum chloride reacts dramatically with water. Aluminum reacts with excess hydrochloric acid to form aqueous aluminum chloride and 46.5 ml of hydrogen gas over. A drop of water placed onto solid aluminum chloride produces steamy clouds of hydrogen. This. Aluminum Chloride And Hydrogen Gas.
From www.chegg.com
Solved Submit Part C When aluminum, Al, metal is dipped in Aluminum Chloride And Hydrogen Gas A drop of water placed onto solid aluminum chloride produces steamy clouds of hydrogen. This is a single displacement reaction, where aluminum replaces hydrogen in hydrochloric. Aluminum reacts with excess hydrochloric acid to form aqueous aluminum chloride and 46.5 ml of hydrogen gas over. Aluminum chloride reacts dramatically with water. Aluminium metal will react with dilute hydrochloric acid to produce. Aluminum Chloride And Hydrogen Gas.
From store14479039.ecwid.com
Aluminium Chloride Hexahydrate 20 Antiperspirant Spray 50mL Aluminum Chloride And Hydrogen Gas This is a single displacement reaction, where aluminum replaces hydrogen in hydrochloric. Determine the type of reaction: Aluminum chloride reacts dramatically with water. Aluminium metal will react with dilute hydrochloric acid to produce aqueous aluminium chloride, #alcl_3#, and hydrogen. Aluminum reacts with excess hydrochloric acid to form aqueous aluminum chloride and 46.5 ml of hydrogen gas over. A drop of. Aluminum Chloride And Hydrogen Gas.
From www.numerade.com
SOLVED A reaction between magnesium sulfate and potassium hydroxide Aluminum Chloride And Hydrogen Gas Aluminum reacts with excess hydrochloric acid to form aqueous aluminum chloride and 46.5 ml of hydrogen gas over. Aluminium metal will react with dilute hydrochloric acid to produce aqueous aluminium chloride, #alcl_3#, and hydrogen. Aluminum chloride reacts dramatically with water. This is a single displacement reaction, where aluminum replaces hydrogen in hydrochloric. A drop of water placed onto solid aluminum. Aluminum Chloride And Hydrogen Gas.
From www.youtube.com
Aluminium reacts with chlorine gas to form aluminium chloride via the Aluminum Chloride And Hydrogen Gas Aluminum reacts with excess hydrochloric acid to form aqueous aluminum chloride and 46.5 ml of hydrogen gas over. This is a single displacement reaction, where aluminum replaces hydrogen in hydrochloric. Aluminum chloride reacts dramatically with water. Aluminium metal will react with dilute hydrochloric acid to produce aqueous aluminium chloride, #alcl_3#, and hydrogen. Determine the type of reaction: A drop of. Aluminum Chloride And Hydrogen Gas.
From www.quanswer.com
Aluminum and hydrochloric acid react form Aluminum chloride and Aluminum Chloride And Hydrogen Gas A drop of water placed onto solid aluminum chloride produces steamy clouds of hydrogen. Aluminum chloride reacts dramatically with water. This is a single displacement reaction, where aluminum replaces hydrogen in hydrochloric. Determine the type of reaction: Aluminium metal will react with dilute hydrochloric acid to produce aqueous aluminium chloride, #alcl_3#, and hydrogen. Aluminum reacts with excess hydrochloric acid to. Aluminum Chloride And Hydrogen Gas.
From www.numerade.com
SOLVED Write a balanced chemical reaction for the production of Aluminum Chloride And Hydrogen Gas Aluminum chloride reacts dramatically with water. Aluminium metal will react with dilute hydrochloric acid to produce aqueous aluminium chloride, #alcl_3#, and hydrogen. Aluminum reacts with excess hydrochloric acid to form aqueous aluminum chloride and 46.5 ml of hydrogen gas over. A drop of water placed onto solid aluminum chloride produces steamy clouds of hydrogen. Determine the type of reaction: This. Aluminum Chloride And Hydrogen Gas.
From w20.b2m.cz
Al Hcl Alcl3 H2 EDUCA Aluminum Chloride And Hydrogen Gas Aluminum reacts with excess hydrochloric acid to form aqueous aluminum chloride and 46.5 ml of hydrogen gas over. Aluminum chloride reacts dramatically with water. Aluminium metal will react with dilute hydrochloric acid to produce aqueous aluminium chloride, #alcl_3#, and hydrogen. Determine the type of reaction: This is a single displacement reaction, where aluminum replaces hydrogen in hydrochloric. A drop of. Aluminum Chloride And Hydrogen Gas.
From www.numerade.com
SOLVED Aluminum reacts with hydrochloric acid to produce aluminum Aluminum Chloride And Hydrogen Gas Aluminum reacts with excess hydrochloric acid to form aqueous aluminum chloride and 46.5 ml of hydrogen gas over. A drop of water placed onto solid aluminum chloride produces steamy clouds of hydrogen. This is a single displacement reaction, where aluminum replaces hydrogen in hydrochloric. Aluminum chloride reacts dramatically with water. Aluminium metal will react with dilute hydrochloric acid to produce. Aluminum Chloride And Hydrogen Gas.
From www.transtutors.com
(Get Answer) Aluminum Reacts With Hydrochloric Acid To Produce Aluminum Chloride And Hydrogen Gas Aluminium metal will react with dilute hydrochloric acid to produce aqueous aluminium chloride, #alcl_3#, and hydrogen. Aluminum chloride reacts dramatically with water. This is a single displacement reaction, where aluminum replaces hydrogen in hydrochloric. Determine the type of reaction: A drop of water placed onto solid aluminum chloride produces steamy clouds of hydrogen. Aluminum reacts with excess hydrochloric acid to. Aluminum Chloride And Hydrogen Gas.
From www.numerade.com
SOLVED Aluminum reacts with excess hydrochloric acid to form aqueous Aluminum Chloride And Hydrogen Gas Determine the type of reaction: Aluminum chloride reacts dramatically with water. A drop of water placed onto solid aluminum chloride produces steamy clouds of hydrogen. Aluminum reacts with excess hydrochloric acid to form aqueous aluminum chloride and 46.5 ml of hydrogen gas over. This is a single displacement reaction, where aluminum replaces hydrogen in hydrochloric. Aluminium metal will react with. Aluminum Chloride And Hydrogen Gas.
From www.carolina.com
Aluminum Chloride, 0.2 M Solution, Aqueous, Laboratory Grade, 500 mL Aluminum Chloride And Hydrogen Gas Determine the type of reaction: Aluminum chloride reacts dramatically with water. This is a single displacement reaction, where aluminum replaces hydrogen in hydrochloric. Aluminium metal will react with dilute hydrochloric acid to produce aqueous aluminium chloride, #alcl_3#, and hydrogen. Aluminum reacts with excess hydrochloric acid to form aqueous aluminum chloride and 46.5 ml of hydrogen gas over. A drop of. Aluminum Chloride And Hydrogen Gas.
From www.numerade.com
SOLVEDaluminium metal strip is added in hydrochloric acid to produce Aluminum Chloride And Hydrogen Gas Aluminium metal will react with dilute hydrochloric acid to produce aqueous aluminium chloride, #alcl_3#, and hydrogen. Aluminum reacts with excess hydrochloric acid to form aqueous aluminum chloride and 46.5 ml of hydrogen gas over. This is a single displacement reaction, where aluminum replaces hydrogen in hydrochloric. A drop of water placed onto solid aluminum chloride produces steamy clouds of hydrogen.. Aluminum Chloride And Hydrogen Gas.
From www.slideshare.net
Chemical equations Aluminum Chloride And Hydrogen Gas Determine the type of reaction: This is a single displacement reaction, where aluminum replaces hydrogen in hydrochloric. Aluminium metal will react with dilute hydrochloric acid to produce aqueous aluminium chloride, #alcl_3#, and hydrogen. Aluminum reacts with excess hydrochloric acid to form aqueous aluminum chloride and 46.5 ml of hydrogen gas over. A drop of water placed onto solid aluminum chloride. Aluminum Chloride And Hydrogen Gas.
From www.chegg.com
Solved Write and balance the 5 reactions shown below 1. Aluminum Chloride And Hydrogen Gas Aluminum chloride reacts dramatically with water. A drop of water placed onto solid aluminum chloride produces steamy clouds of hydrogen. This is a single displacement reaction, where aluminum replaces hydrogen in hydrochloric. Aluminum reacts with excess hydrochloric acid to form aqueous aluminum chloride and 46.5 ml of hydrogen gas over. Aluminium metal will react with dilute hydrochloric acid to produce. Aluminum Chloride And Hydrogen Gas.
From www.chegg.com
Solved Aluminum metal reacts with HCI to produce aluminum Aluminum Chloride And Hydrogen Gas This is a single displacement reaction, where aluminum replaces hydrogen in hydrochloric. Determine the type of reaction: Aluminium metal will react with dilute hydrochloric acid to produce aqueous aluminium chloride, #alcl_3#, and hydrogen. Aluminum reacts with excess hydrochloric acid to form aqueous aluminum chloride and 46.5 ml of hydrogen gas over. A drop of water placed onto solid aluminum chloride. Aluminum Chloride And Hydrogen Gas.