Magnesium Nitride + Water . Magnesium nitride reacts vigorously with water to form ammonia and magnesium hydroxide, according to the. Mg3n2(s) + 6h2o(l) → 3mg(oh)2(aq) +2nh3(aq) explanation: One mole of magnesium nitride [mg 3 n 2] and six moles of. Magnesium nitride + water = ammonia + magnesium + hydrogen peroxide. Godlove van whestley · stefan v. Mg3n2 + h2o = nh3 + mgo. Magnesium nitride + water = ammonia + magnesium oxide. Mg3n2 + h2o = mg(oh)2 + nh3 is a double displacement (metathesis) reaction where one mole of magnesium nitride [mg 3 n 2] and six. In this video we'll balance the equation mg3n2 + h2o = mgo + nh3 and provide the correct.
from www.chegg.com
Magnesium nitride + water = ammonia + magnesium oxide. Mg3n2 + h2o = nh3 + mgo. Mg3n2 + h2o = mg(oh)2 + nh3 is a double displacement (metathesis) reaction where one mole of magnesium nitride [mg 3 n 2] and six. One mole of magnesium nitride [mg 3 n 2] and six moles of. Mg3n2(s) + 6h2o(l) → 3mg(oh)2(aq) +2nh3(aq) explanation: In this video we'll balance the equation mg3n2 + h2o = mgo + nh3 and provide the correct. Godlove van whestley · stefan v. Magnesium nitride reacts vigorously with water to form ammonia and magnesium hydroxide, according to the. Magnesium nitride + water = ammonia + magnesium + hydrogen peroxide.
Solved E) 11.9 14) How many moles of magnesium oxide are
Magnesium Nitride + Water Mg3n2(s) + 6h2o(l) → 3mg(oh)2(aq) +2nh3(aq) explanation: Magnesium nitride reacts vigorously with water to form ammonia and magnesium hydroxide, according to the. Mg3n2(s) + 6h2o(l) → 3mg(oh)2(aq) +2nh3(aq) explanation: Magnesium nitride + water = ammonia + magnesium oxide. Mg3n2 + h2o = nh3 + mgo. In this video we'll balance the equation mg3n2 + h2o = mgo + nh3 and provide the correct. Mg3n2 + h2o = mg(oh)2 + nh3 is a double displacement (metathesis) reaction where one mole of magnesium nitride [mg 3 n 2] and six. Magnesium nitride + water = ammonia + magnesium + hydrogen peroxide. One mole of magnesium nitride [mg 3 n 2] and six moles of. Godlove van whestley · stefan v.
From education.seattlepi.com
What Is Added to Magnesium Nitride to Make Magnesium Oxide? Education Magnesium Nitride + Water In this video we'll balance the equation mg3n2 + h2o = mgo + nh3 and provide the correct. Mg3n2 + h2o = nh3 + mgo. Mg3n2(s) + 6h2o(l) → 3mg(oh)2(aq) +2nh3(aq) explanation: Magnesium nitride reacts vigorously with water to form ammonia and magnesium hydroxide, according to the. Godlove van whestley · stefan v. Magnesium nitride + water = ammonia +. Magnesium Nitride + Water.
From www.numerade.com
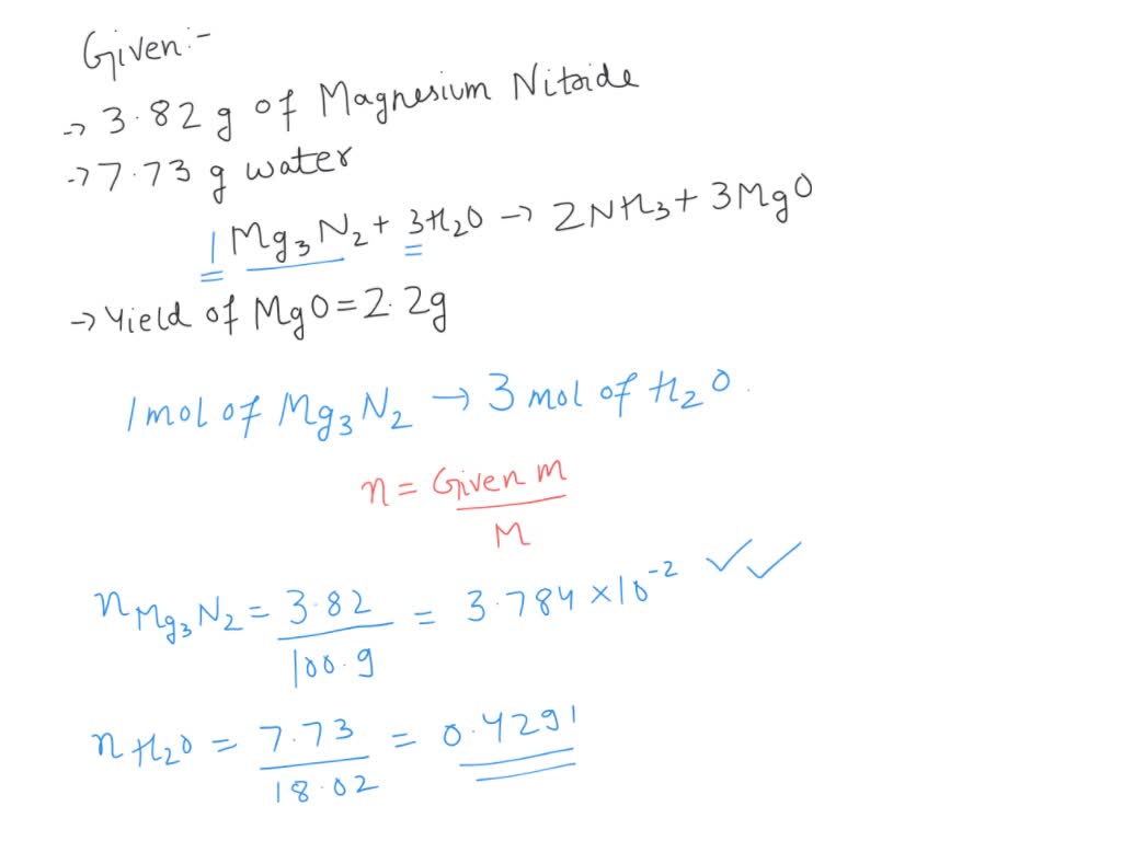
SOLVED 'A 3.82g sample of magnesium nitride is reacted with 7.73 g of Magnesium Nitride + Water In this video we'll balance the equation mg3n2 + h2o = mgo + nh3 and provide the correct. Mg3n2 + h2o = mg(oh)2 + nh3 is a double displacement (metathesis) reaction where one mole of magnesium nitride [mg 3 n 2] and six. Magnesium nitride reacts vigorously with water to form ammonia and magnesium hydroxide, according to the. Mg3n2 +. Magnesium Nitride + Water.
From imgbin.com
Water Ammonia Decal Magnesium Nitride PNG, Clipart, Area, Art, Artwork Magnesium Nitride + Water Mg3n2 + h2o = mg(oh)2 + nh3 is a double displacement (metathesis) reaction where one mole of magnesium nitride [mg 3 n 2] and six. In this video we'll balance the equation mg3n2 + h2o = mgo + nh3 and provide the correct. Mg3n2 + h2o = nh3 + mgo. Magnesium nitride + water = ammonia + magnesium + hydrogen. Magnesium Nitride + Water.
From www.chegg.com
Solved Question 16 2 pts Magnesium hydroxide and ammonia Magnesium Nitride + Water One mole of magnesium nitride [mg 3 n 2] and six moles of. Godlove van whestley · stefan v. In this video we'll balance the equation mg3n2 + h2o = mgo + nh3 and provide the correct. Magnesium nitride reacts vigorously with water to form ammonia and magnesium hydroxide, according to the. Mg3n2 + h2o = mg(oh)2 + nh3 is. Magnesium Nitride + Water.
From solvedlib.com
Magnesium nitride reacts with water to form ammonia a… SolvedLib Magnesium Nitride + Water In this video we'll balance the equation mg3n2 + h2o = mgo + nh3 and provide the correct. Mg3n2(s) + 6h2o(l) → 3mg(oh)2(aq) +2nh3(aq) explanation: Magnesium nitride + water = ammonia + magnesium oxide. Godlove van whestley · stefan v. Magnesium nitride + water = ammonia + magnesium + hydrogen peroxide. One mole of magnesium nitride [mg 3 n 2]. Magnesium Nitride + Water.
From www.chegg.com
Solved Ammonia can be made by reaction of water with Magnesium Nitride + Water Magnesium nitride + water = ammonia + magnesium + hydrogen peroxide. Godlove van whestley · stefan v. In this video we'll balance the equation mg3n2 + h2o = mgo + nh3 and provide the correct. Mg3n2(s) + 6h2o(l) → 3mg(oh)2(aq) +2nh3(aq) explanation: Magnesium nitride reacts vigorously with water to form ammonia and magnesium hydroxide, according to the. One mole of. Magnesium Nitride + Water.
From byjus.com
8. 24 gm pure sample of magnesium is burned in air to form magnesium Magnesium Nitride + Water Mg3n2 + h2o = nh3 + mgo. Godlove van whestley · stefan v. One mole of magnesium nitride [mg 3 n 2] and six moles of. Mg3n2 + h2o = mg(oh)2 + nh3 is a double displacement (metathesis) reaction where one mole of magnesium nitride [mg 3 n 2] and six. Magnesium nitride + water = ammonia + magnesium +. Magnesium Nitride + Water.
From www.studyxapp.com
the equation below shows the reaction between magnesium nitride and Magnesium Nitride + Water Magnesium nitride + water = ammonia + magnesium + hydrogen peroxide. One mole of magnesium nitride [mg 3 n 2] and six moles of. Mg3n2 + h2o = nh3 + mgo. Magnesium nitride + water = ammonia + magnesium oxide. Godlove van whestley · stefan v. Magnesium nitride reacts vigorously with water to form ammonia and magnesium hydroxide, according to. Magnesium Nitride + Water.
From www.numerade.com
SOLVED A 3.82g sample of magnesium nitride is reacted with 7.73 g of Magnesium Nitride + Water Magnesium nitride reacts vigorously with water to form ammonia and magnesium hydroxide, according to the. Mg3n2(s) + 6h2o(l) → 3mg(oh)2(aq) +2nh3(aq) explanation: One mole of magnesium nitride [mg 3 n 2] and six moles of. Magnesium nitride + water = ammonia + magnesium oxide. Mg3n2 + h2o = nh3 + mgo. Mg3n2 + h2o = mg(oh)2 + nh3 is a. Magnesium Nitride + Water.
From nanografi.com
Properties of Magnesium Nitride Micron Powder Nanografi Nano Technology Magnesium Nitride + Water Magnesium nitride reacts vigorously with water to form ammonia and magnesium hydroxide, according to the. Magnesium nitride + water = ammonia + magnesium + hydrogen peroxide. Mg3n2 + h2o = mg(oh)2 + nh3 is a double displacement (metathesis) reaction where one mole of magnesium nitride [mg 3 n 2] and six. Godlove van whestley · stefan v. One mole of. Magnesium Nitride + Water.
From www.numerade.com
SOLVED Write correctly balanced chemical equations for the following Magnesium Nitride + Water Mg3n2 + h2o = mg(oh)2 + nh3 is a double displacement (metathesis) reaction where one mole of magnesium nitride [mg 3 n 2] and six. One mole of magnesium nitride [mg 3 n 2] and six moles of. Magnesium nitride + water = ammonia + magnesium oxide. Godlove van whestley · stefan v. Mg3n2 + h2o = nh3 + mgo.. Magnesium Nitride + Water.
From www.chegg.com
Solved E) 11.9 14) How many moles of magnesium oxide are Magnesium Nitride + Water Magnesium nitride reacts vigorously with water to form ammonia and magnesium hydroxide, according to the. In this video we'll balance the equation mg3n2 + h2o = mgo + nh3 and provide the correct. One mole of magnesium nitride [mg 3 n 2] and six moles of. Mg3n2 + h2o = nh3 + mgo. Godlove van whestley · stefan v. Mg3n2. Magnesium Nitride + Water.
From www.numerade.com
SOLVEDIf water is added to magnesium nitride, ammonia gas is produced Magnesium Nitride + Water Magnesium nitride + water = ammonia + magnesium + hydrogen peroxide. Godlove van whestley · stefan v. Mg3n2 + h2o = mg(oh)2 + nh3 is a double displacement (metathesis) reaction where one mole of magnesium nitride [mg 3 n 2] and six. One mole of magnesium nitride [mg 3 n 2] and six moles of. Mg3n2(s) + 6h2o(l) → 3mg(oh)2(aq). Magnesium Nitride + Water.
From www.chegg.com
Solved Lithium nitride reacts with water to produce ammonia Magnesium Nitride + Water Mg3n2(s) + 6h2o(l) → 3mg(oh)2(aq) +2nh3(aq) explanation: One mole of magnesium nitride [mg 3 n 2] and six moles of. Magnesium nitride + water = ammonia + magnesium oxide. Godlove van whestley · stefan v. Magnesium nitride + water = ammonia + magnesium + hydrogen peroxide. Mg3n2 + h2o = mg(oh)2 + nh3 is a double displacement (metathesis) reaction where. Magnesium Nitride + Water.
From www.numerade.com
SOLVED 'Experiment 8 QUANTITIES IN CHEMICAL REACTIONS PreLab Magnesium Nitride + Water Magnesium nitride + water = ammonia + magnesium oxide. Mg3n2(s) + 6h2o(l) → 3mg(oh)2(aq) +2nh3(aq) explanation: Godlove van whestley · stefan v. Magnesium nitride + water = ammonia + magnesium + hydrogen peroxide. Mg3n2 + h2o = mg(oh)2 + nh3 is a double displacement (metathesis) reaction where one mole of magnesium nitride [mg 3 n 2] and six. Magnesium nitride. Magnesium Nitride + Water.
From www.doubtnut.com
[Odia] How does heavy water react with magnesium nitride Magnesium Nitride + Water Mg3n2 + h2o = mg(oh)2 + nh3 is a double displacement (metathesis) reaction where one mole of magnesium nitride [mg 3 n 2] and six. Mg3n2(s) + 6h2o(l) → 3mg(oh)2(aq) +2nh3(aq) explanation: Magnesium nitride reacts vigorously with water to form ammonia and magnesium hydroxide, according to the. Mg3n2 + h2o = nh3 + mgo. In this video we'll balance the. Magnesium Nitride + Water.
From www.youtube.com
Reaction between Magnesium and Water (Mg + H2O) YouTube Magnesium Nitride + Water One mole of magnesium nitride [mg 3 n 2] and six moles of. Mg3n2(s) + 6h2o(l) → 3mg(oh)2(aq) +2nh3(aq) explanation: Godlove van whestley · stefan v. Mg3n2 + h2o = mg(oh)2 + nh3 is a double displacement (metathesis) reaction where one mole of magnesium nitride [mg 3 n 2] and six. In this video we'll balance the equation mg3n2 +. Magnesium Nitride + Water.
From www.chegg.com
Solved Solid magnesium nitride is placed in water and Magnesium Nitride + Water Godlove van whestley · stefan v. In this video we'll balance the equation mg3n2 + h2o = mgo + nh3 and provide the correct. One mole of magnesium nitride [mg 3 n 2] and six moles of. Mg3n2 + h2o = mg(oh)2 + nh3 is a double displacement (metathesis) reaction where one mole of magnesium nitride [mg 3 n 2]. Magnesium Nitride + Water.
From chrisnewslawrence.blogspot.com
What Is the Formula Mass of Magnesium Nitride Magnesium Nitride + Water One mole of magnesium nitride [mg 3 n 2] and six moles of. Mg3n2 + h2o = nh3 + mgo. Godlove van whestley · stefan v. Magnesium nitride reacts vigorously with water to form ammonia and magnesium hydroxide, according to the. Mg3n2 + h2o = mg(oh)2 + nh3 is a double displacement (metathesis) reaction where one mole of magnesium nitride. Magnesium Nitride + Water.
From kunduz.com
[ANSWERED] Use the References to access important values if needed for Magnesium Nitride + Water Mg3n2 + h2o = nh3 + mgo. Magnesium nitride reacts vigorously with water to form ammonia and magnesium hydroxide, according to the. In this video we'll balance the equation mg3n2 + h2o = mgo + nh3 and provide the correct. Magnesium nitride + water = ammonia + magnesium oxide. One mole of magnesium nitride [mg 3 n 2] and six. Magnesium Nitride + Water.
From www.numerade.com
SOLVED Write the chemical equation for the reaction of magnesium with Magnesium Nitride + Water Magnesium nitride + water = ammonia + magnesium + hydrogen peroxide. One mole of magnesium nitride [mg 3 n 2] and six moles of. Mg3n2 + h2o = nh3 + mgo. Mg3n2 + h2o = mg(oh)2 + nh3 is a double displacement (metathesis) reaction where one mole of magnesium nitride [mg 3 n 2] and six. In this video we'll. Magnesium Nitride + Water.
From www.numerade.com
SOLVED Consider the reaction between magnesium nitride and water where Magnesium Nitride + Water Mg3n2 + h2o = nh3 + mgo. In this video we'll balance the equation mg3n2 + h2o = mgo + nh3 and provide the correct. Magnesium nitride + water = ammonia + magnesium oxide. Magnesium nitride reacts vigorously with water to form ammonia and magnesium hydroxide, according to the. One mole of magnesium nitride [mg 3 n 2] and six. Magnesium Nitride + Water.
From www.numerade.com
SOLVED For the following reaction, 0.579 moles of magnesium nitride Magnesium Nitride + Water Magnesium nitride + water = ammonia + magnesium + hydrogen peroxide. Mg3n2 + h2o = mg(oh)2 + nh3 is a double displacement (metathesis) reaction where one mole of magnesium nitride [mg 3 n 2] and six. Magnesium nitride reacts vigorously with water to form ammonia and magnesium hydroxide, according to the. Mg3n2 + h2o = nh3 + mgo. Magnesium nitride. Magnesium Nitride + Water.
From www.youtube.com
Preparation & Properties of Magnesium nitride YouTube Magnesium Nitride + Water Mg3n2 + h2o = nh3 + mgo. One mole of magnesium nitride [mg 3 n 2] and six moles of. Godlove van whestley · stefan v. Mg3n2 + h2o = mg(oh)2 + nh3 is a double displacement (metathesis) reaction where one mole of magnesium nitride [mg 3 n 2] and six. Magnesium nitride reacts vigorously with water to form ammonia. Magnesium Nitride + Water.
From www.youtube.com
Equation for Mg(NO3)2 + H2O (Magnesium nitrate + Water) YouTube Magnesium Nitride + Water Magnesium nitride reacts vigorously with water to form ammonia and magnesium hydroxide, according to the. Magnesium nitride + water = ammonia + magnesium oxide. In this video we'll balance the equation mg3n2 + h2o = mgo + nh3 and provide the correct. Godlove van whestley · stefan v. Mg3n2 + h2o = mg(oh)2 + nh3 is a double displacement (metathesis). Magnesium Nitride + Water.
From wizedu.com
Solid magnesium nitride reacts with water to produce solid magnesium Magnesium Nitride + Water In this video we'll balance the equation mg3n2 + h2o = mgo + nh3 and provide the correct. Magnesium nitride reacts vigorously with water to form ammonia and magnesium hydroxide, according to the. Godlove van whestley · stefan v. One mole of magnesium nitride [mg 3 n 2] and six moles of. Mg3n2(s) + 6h2o(l) → 3mg(oh)2(aq) +2nh3(aq) explanation: Magnesium. Magnesium Nitride + Water.
From www.youtube.com
Type of Reaction for Mg + N2 = Mg3N2 YouTube Magnesium Nitride + Water Magnesium nitride reacts vigorously with water to form ammonia and magnesium hydroxide, according to the. Mg3n2 + h2o = nh3 + mgo. Godlove van whestley · stefan v. Magnesium nitride + water = ammonia + magnesium oxide. One mole of magnesium nitride [mg 3 n 2] and six moles of. Mg3n2 + h2o = mg(oh)2 + nh3 is a double. Magnesium Nitride + Water.
From www.chegg.com
Solved A 4.53 g sample of magnesium nitride is reacted with Magnesium Nitride + Water One mole of magnesium nitride [mg 3 n 2] and six moles of. In this video we'll balance the equation mg3n2 + h2o = mgo + nh3 and provide the correct. Magnesium nitride + water = ammonia + magnesium + hydrogen peroxide. Mg3n2 + h2o = mg(oh)2 + nh3 is a double displacement (metathesis) reaction where one mole of magnesium. Magnesium Nitride + Water.
From chrisnewslawrence.blogspot.com
What Is the Formula Mass of Magnesium Nitride Magnesium Nitride + Water In this video we'll balance the equation mg3n2 + h2o = mgo + nh3 and provide the correct. One mole of magnesium nitride [mg 3 n 2] and six moles of. Godlove van whestley · stefan v. Magnesium nitride + water = ammonia + magnesium oxide. Mg3n2 + h2o = mg(oh)2 + nh3 is a double displacement (metathesis) reaction where. Magnesium Nitride + Water.
From www.youtube.com
How to Write the Formula for Magnesium nitrate YouTube Magnesium Nitride + Water Godlove van whestley · stefan v. Magnesium nitride + water = ammonia + magnesium + hydrogen peroxide. Magnesium nitride + water = ammonia + magnesium oxide. Mg3n2 + h2o = mg(oh)2 + nh3 is a double displacement (metathesis) reaction where one mole of magnesium nitride [mg 3 n 2] and six. One mole of magnesium nitride [mg 3 n 2]. Magnesium Nitride + Water.
From askfilo.com
6. Reaction of mole of magnesium nitride with excess of water can liberat.. Magnesium Nitride + Water In this video we'll balance the equation mg3n2 + h2o = mgo + nh3 and provide the correct. One mole of magnesium nitride [mg 3 n 2] and six moles of. Mg3n2 + h2o = nh3 + mgo. Magnesium nitride reacts vigorously with water to form ammonia and magnesium hydroxide, according to the. Godlove van whestley · stefan v. Magnesium. Magnesium Nitride + Water.
From www.youtube.com
How to Balance Mg3N2 + H2O = MgO + NH3 (Magnesium nitride + Water Magnesium Nitride + Water Magnesium nitride + water = ammonia + magnesium + hydrogen peroxide. Magnesium nitride + water = ammonia + magnesium oxide. Magnesium nitride reacts vigorously with water to form ammonia and magnesium hydroxide, according to the. One mole of magnesium nitride [mg 3 n 2] and six moles of. Mg3n2(s) + 6h2o(l) → 3mg(oh)2(aq) +2nh3(aq) explanation: Mg3n2 + h2o = nh3. Magnesium Nitride + Water.
From uwaterloo.ca
Is magnesium nitride formed in the combustion of magnesium? Chem 13 Magnesium Nitride + Water In this video we'll balance the equation mg3n2 + h2o = mgo + nh3 and provide the correct. Mg3n2(s) + 6h2o(l) → 3mg(oh)2(aq) +2nh3(aq) explanation: Godlove van whestley · stefan v. Magnesium nitride reacts vigorously with water to form ammonia and magnesium hydroxide, according to the. Mg3n2 + h2o = mg(oh)2 + nh3 is a double displacement (metathesis) reaction where. Magnesium Nitride + Water.
From www.doubtnut.com
[Odia] How does heavy water react with magnesium nitride Magnesium Nitride + Water In this video we'll balance the equation mg3n2 + h2o = mgo + nh3 and provide the correct. Godlove van whestley · stefan v. Magnesium nitride + water = ammonia + magnesium + hydrogen peroxide. Magnesium nitride reacts vigorously with water to form ammonia and magnesium hydroxide, according to the. Mg3n2(s) + 6h2o(l) → 3mg(oh)2(aq) +2nh3(aq) explanation: Magnesium nitride +. Magnesium Nitride + Water.
From www.nagwa.com
Question Video Balancing a Chemical Equation for the Reaction between Magnesium Nitride + Water Magnesium nitride + water = ammonia + magnesium oxide. Godlove van whestley · stefan v. Mg3n2 + h2o = nh3 + mgo. Mg3n2(s) + 6h2o(l) → 3mg(oh)2(aq) +2nh3(aq) explanation: One mole of magnesium nitride [mg 3 n 2] and six moles of. Mg3n2 + h2o = mg(oh)2 + nh3 is a double displacement (metathesis) reaction where one mole of magnesium. Magnesium Nitride + Water.