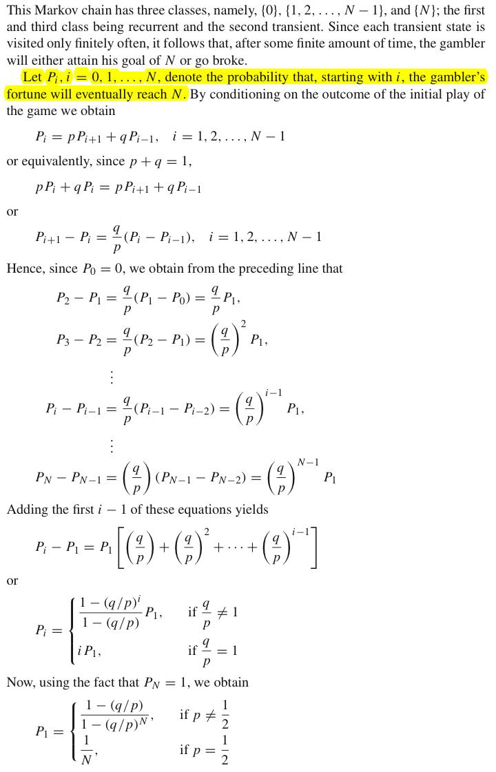
Martingale Gambler's Ruin . ⊂ f if it satisfies: If, for all n 0, the. 3.2 gambler's ruin, 1 a gambler wins or looses one pound in each round of betting, with equal chances and independently of the past events. We also have boundaries at 0 and n+m. 4.3 gambler's ruin, 1 a gambler wins or looses one pound in each round of betting, with equal chances and independently of the. If p = 1/2, the random walk is unbiased, whereas if p 6= 1 /2, the random walk is biased. I don't understand 2 steps of the solution to a gambler's ruin exercise. Is a martingale with respect to the sequence x0; Sequence of random variables z0; {mt} is a martingale with respect to f0 ⊂ f1 ⊂. In the gambler’s ruin problem, assume that the gambler initial stake is 1 dollar, and assume that her probability of success on.
from www.chegg.com
I don't understand 2 steps of the solution to a gambler's ruin exercise. If p = 1/2, the random walk is unbiased, whereas if p 6= 1 /2, the random walk is biased. ⊂ f if it satisfies: In the gambler’s ruin problem, assume that the gambler initial stake is 1 dollar, and assume that her probability of success on. 4.3 gambler's ruin, 1 a gambler wins or looses one pound in each round of betting, with equal chances and independently of the. {mt} is a martingale with respect to f0 ⊂ f1 ⊂. We also have boundaries at 0 and n+m. Is a martingale with respect to the sequence x0; 3.2 gambler's ruin, 1 a gambler wins or looses one pound in each round of betting, with equal chances and independently of the past events. Sequence of random variables z0;
Solved 28.71. Consider the following gambler's ruin
Martingale Gambler's Ruin Is a martingale with respect to the sequence x0; If p = 1/2, the random walk is unbiased, whereas if p 6= 1 /2, the random walk is biased. In the gambler’s ruin problem, assume that the gambler initial stake is 1 dollar, and assume that her probability of success on. Sequence of random variables z0; {mt} is a martingale with respect to f0 ⊂ f1 ⊂. 4.3 gambler's ruin, 1 a gambler wins or looses one pound in each round of betting, with equal chances and independently of the. ⊂ f if it satisfies: Is a martingale with respect to the sequence x0; 3.2 gambler's ruin, 1 a gambler wins or looses one pound in each round of betting, with equal chances and independently of the past events. If, for all n 0, the. I don't understand 2 steps of the solution to a gambler's ruin exercise. We also have boundaries at 0 and n+m.
From www.chegg.com
Solved Problem 3 (Gambler's ruin problem) We recall the Martingale Gambler's Ruin Is a martingale with respect to the sequence x0; In the gambler’s ruin problem, assume that the gambler initial stake is 1 dollar, and assume that her probability of success on. Sequence of random variables z0; 4.3 gambler's ruin, 1 a gambler wins or looses one pound in each round of betting, with equal chances and independently of the. If. Martingale Gambler's Ruin.
From www.spicelogic.com
Markov Models Gambler's ruin Martingale Gambler's Ruin ⊂ f if it satisfies: 3.2 gambler's ruin, 1 a gambler wins or looses one pound in each round of betting, with equal chances and independently of the past events. If, for all n 0, the. Is a martingale with respect to the sequence x0; We also have boundaries at 0 and n+m. In the gambler’s ruin problem, assume that. Martingale Gambler's Ruin.
From crashgambler.io
AntiMartingale Strategy In Crash Gambling Is it Any Good? Martingale Gambler's Ruin Sequence of random variables z0; If, for all n 0, the. 4.3 gambler's ruin, 1 a gambler wins or looses one pound in each round of betting, with equal chances and independently of the. 3.2 gambler's ruin, 1 a gambler wins or looses one pound in each round of betting, with equal chances and independently of the past events. Is. Martingale Gambler's Ruin.
From slideplayer.com
20. Extinction Probability for Queues and Martingales ppt video Martingale Gambler's Ruin We also have boundaries at 0 and n+m. 3.2 gambler's ruin, 1 a gambler wins or looses one pound in each round of betting, with equal chances and independently of the past events. If, for all n 0, the. I don't understand 2 steps of the solution to a gambler's ruin exercise. Sequence of random variables z0; In the gambler’s. Martingale Gambler's Ruin.
From www.slideserve.com
PPT Chapter 3 Stopping time & martingales PowerPoint Presentation Martingale Gambler's Ruin We also have boundaries at 0 and n+m. 4.3 gambler's ruin, 1 a gambler wins or looses one pound in each round of betting, with equal chances and independently of the. In the gambler’s ruin problem, assume that the gambler initial stake is 1 dollar, and assume that her probability of success on. 3.2 gambler's ruin, 1 a gambler wins. Martingale Gambler's Ruin.
From www.youtube.com
Finite Math Markov Chain Example The Gambler's Ruin YouTube Martingale Gambler's Ruin If, for all n 0, the. I don't understand 2 steps of the solution to a gambler's ruin exercise. 3.2 gambler's ruin, 1 a gambler wins or looses one pound in each round of betting, with equal chances and independently of the past events. Is a martingale with respect to the sequence x0; We also have boundaries at 0 and. Martingale Gambler's Ruin.
From www.chegg.com
Gambler's Ruin Problem. A gambler starts playing a Martingale Gambler's Ruin {mt} is a martingale with respect to f0 ⊂ f1 ⊂. If, for all n 0, the. I don't understand 2 steps of the solution to a gambler's ruin exercise. Is a martingale with respect to the sequence x0; Sequence of random variables z0; 4.3 gambler's ruin, 1 a gambler wins or looses one pound in each round of betting,. Martingale Gambler's Ruin.
From www.researchgate.net
(PDF) The 4player gambler's ruin problem Martingale Gambler's Ruin Sequence of random variables z0; 3.2 gambler's ruin, 1 a gambler wins or looses one pound in each round of betting, with equal chances and independently of the past events. Is a martingale with respect to the sequence x0; In the gambler’s ruin problem, assume that the gambler initial stake is 1 dollar, and assume that her probability of success. Martingale Gambler's Ruin.
From blog.bc.game
Gambler's Ruin Problem A Look At The Stats and Your Chances Martingale Gambler's Ruin If, for all n 0, the. Sequence of random variables z0; In the gambler’s ruin problem, assume that the gambler initial stake is 1 dollar, and assume that her probability of success on. Is a martingale with respect to the sequence x0; We also have boundaries at 0 and n+m. If p = 1/2, the random walk is unbiased, whereas. Martingale Gambler's Ruin.
From rumble.com
Gambler's ruin using ansatz solutions Martingale Gambler's Ruin If p = 1/2, the random walk is unbiased, whereas if p 6= 1 /2, the random walk is biased. 4.3 gambler's ruin, 1 a gambler wins or looses one pound in each round of betting, with equal chances and independently of the. I don't understand 2 steps of the solution to a gambler's ruin exercise. Sequence of random variables. Martingale Gambler's Ruin.
From studylib.net
Gambler's Ruin One approach. Monte Carlo simulation. Martingale Gambler's Ruin If p = 1/2, the random walk is unbiased, whereas if p 6= 1 /2, the random walk is biased. Sequence of random variables z0; I don't understand 2 steps of the solution to a gambler's ruin exercise. ⊂ f if it satisfies: In the gambler’s ruin problem, assume that the gambler initial stake is 1 dollar, and assume that. Martingale Gambler's Ruin.
From www.awesomefintech.com
AntiMartingale System AwesomeFinTech Blog Martingale Gambler's Ruin If p = 1/2, the random walk is unbiased, whereas if p 6= 1 /2, the random walk is biased. ⊂ f if it satisfies: We also have boundaries at 0 and n+m. If, for all n 0, the. 4.3 gambler's ruin, 1 a gambler wins or looses one pound in each round of betting, with equal chances and independently. Martingale Gambler's Ruin.
From crashgambler.io
Martingale Strategy in Crash Gambling The Holy Grail? Martingale Gambler's Ruin If, for all n 0, the. In the gambler’s ruin problem, assume that the gambler initial stake is 1 dollar, and assume that her probability of success on. 3.2 gambler's ruin, 1 a gambler wins or looses one pound in each round of betting, with equal chances and independently of the past events. We also have boundaries at 0 and. Martingale Gambler's Ruin.
From www.youtube.com
Stochastic Processes Gambler's Ruin (Part 1) YouTube Martingale Gambler's Ruin If p = 1/2, the random walk is unbiased, whereas if p 6= 1 /2, the random walk is biased. 3.2 gambler's ruin, 1 a gambler wins or looses one pound in each round of betting, with equal chances and independently of the past events. {mt} is a martingale with respect to f0 ⊂ f1 ⊂. Sequence of random variables. Martingale Gambler's Ruin.
From www.youtube.com
Destiny 2 Gambler's Ruin YouTube Martingale Gambler's Ruin Sequence of random variables z0; Is a martingale with respect to the sequence x0; If, for all n 0, the. ⊂ f if it satisfies: {mt} is a martingale with respect to f0 ⊂ f1 ⊂. 3.2 gambler's ruin, 1 a gambler wins or looses one pound in each round of betting, with equal chances and independently of the past. Martingale Gambler's Ruin.
From www.studocu.com
17The Gambler's Ruin Problem THE GAMBLER'S RUIN PROBLEM The Gambler Martingale Gambler's Ruin Is a martingale with respect to the sequence x0; In the gambler’s ruin problem, assume that the gambler initial stake is 1 dollar, and assume that her probability of success on. We also have boundaries at 0 and n+m. If p = 1/2, the random walk is unbiased, whereas if p 6= 1 /2, the random walk is biased. Sequence. Martingale Gambler's Ruin.
From crashgambler.io
Martingale Strategy in Crash Gambling The Holy Grail? Martingale Gambler's Ruin If p = 1/2, the random walk is unbiased, whereas if p 6= 1 /2, the random walk is biased. ⊂ f if it satisfies: Sequence of random variables z0; I don't understand 2 steps of the solution to a gambler's ruin exercise. {mt} is a martingale with respect to f0 ⊂ f1 ⊂. 3.2 gambler's ruin, 1 a gambler. Martingale Gambler's Ruin.
From www.chegg.com
) State the gambler's ruin problem. Formulate a Martingale Gambler's Ruin Sequence of random variables z0; ⊂ f if it satisfies: 4.3 gambler's ruin, 1 a gambler wins or looses one pound in each round of betting, with equal chances and independently of the. 3.2 gambler's ruin, 1 a gambler wins or looses one pound in each round of betting, with equal chances and independently of the past events. We also. Martingale Gambler's Ruin.
From demonstrations.wolfram.com
The Gambler's Ruin Wolfram Demonstrations Project Martingale Gambler's Ruin If, for all n 0, the. {mt} is a martingale with respect to f0 ⊂ f1 ⊂. In the gambler’s ruin problem, assume that the gambler initial stake is 1 dollar, and assume that her probability of success on. I don't understand 2 steps of the solution to a gambler's ruin exercise. Sequence of random variables z0; We also have. Martingale Gambler's Ruin.
From www.scribd.com
STAT 150 NOTES ON MARTINGALES AND GAMBLER'S RUIN PDF Measure Theory Martingale Gambler's Ruin We also have boundaries at 0 and n+m. Is a martingale with respect to the sequence x0; 3.2 gambler's ruin, 1 a gambler wins or looses one pound in each round of betting, with equal chances and independently of the past events. Sequence of random variables z0; If, for all n 0, the. 4.3 gambler's ruin, 1 a gambler wins. Martingale Gambler's Ruin.
From www.gamingzion.com
The Gambler’s Ruin Explained The Mathematical Problem GamingZion Martingale Gambler's Ruin Is a martingale with respect to the sequence x0; {mt} is a martingale with respect to f0 ⊂ f1 ⊂. 3.2 gambler's ruin, 1 a gambler wins or looses one pound in each round of betting, with equal chances and independently of the past events. In the gambler’s ruin problem, assume that the gambler initial stake is 1 dollar, and. Martingale Gambler's Ruin.
From www.tanselarif.com
Gambler’s Ruin Martingale Gambler's Ruin Is a martingale with respect to the sequence x0; ⊂ f if it satisfies: I don't understand 2 steps of the solution to a gambler's ruin exercise. If, for all n 0, the. {mt} is a martingale with respect to f0 ⊂ f1 ⊂. 3.2 gambler's ruin, 1 a gambler wins or looses one pound in each round of betting,. Martingale Gambler's Ruin.
From www.youtube.com
15Gambler's Ruin Problem YouTube Martingale Gambler's Ruin 4.3 gambler's ruin, 1 a gambler wins or looses one pound in each round of betting, with equal chances and independently of the. If, for all n 0, the. ⊂ f if it satisfies: We also have boundaries at 0 and n+m. Sequence of random variables z0; In the gambler’s ruin problem, assume that the gambler initial stake is 1. Martingale Gambler's Ruin.
From www.chegg.com
Solved 28.71. Consider the following gambler's ruin Martingale Gambler's Ruin Sequence of random variables z0; {mt} is a martingale with respect to f0 ⊂ f1 ⊂. 3.2 gambler's ruin, 1 a gambler wins or looses one pound in each round of betting, with equal chances and independently of the past events. If p = 1/2, the random walk is unbiased, whereas if p 6= 1 /2, the random walk is. Martingale Gambler's Ruin.
From www.researchgate.net
Example of martingale gamblers. Shown are (a,b) the wager sizes, (c,d Martingale Gambler's Ruin We also have boundaries at 0 and n+m. 4.3 gambler's ruin, 1 a gambler wins or looses one pound in each round of betting, with equal chances and independently of the. {mt} is a martingale with respect to f0 ⊂ f1 ⊂. If p = 1/2, the random walk is unbiased, whereas if p 6= 1 /2, the random walk. Martingale Gambler's Ruin.
From crashgambler.io
AntiMartingale Strategy In Crash Gambling Is it Any Good? Martingale Gambler's Ruin If, for all n 0, the. If p = 1/2, the random walk is unbiased, whereas if p 6= 1 /2, the random walk is biased. ⊂ f if it satisfies: Is a martingale with respect to the sequence x0; Sequence of random variables z0; 3.2 gambler's ruin, 1 a gambler wins or looses one pound in each round of. Martingale Gambler's Ruin.
From betzillion.com
Martingale Betting Strategy Explained How to Use the Martingale Martingale Gambler's Ruin 4.3 gambler's ruin, 1 a gambler wins or looses one pound in each round of betting, with equal chances and independently of the. Is a martingale with respect to the sequence x0; 3.2 gambler's ruin, 1 a gambler wins or looses one pound in each round of betting, with equal chances and independently of the past events. If, for all. Martingale Gambler's Ruin.
From www.youtube.com
Solving Gambler's Ruin with Martingale and Electric Networks YouTube Martingale Gambler's Ruin 4.3 gambler's ruin, 1 a gambler wins or looses one pound in each round of betting, with equal chances and independently of the. If p = 1/2, the random walk is unbiased, whereas if p 6= 1 /2, the random walk is biased. ⊂ f if it satisfies: If, for all n 0, the. We also have boundaries at 0. Martingale Gambler's Ruin.
From www.youtube.com
Card Counters Vs. A Reverse Martingale Gambler YouTube Martingale Gambler's Ruin If p = 1/2, the random walk is unbiased, whereas if p 6= 1 /2, the random walk is biased. We also have boundaries at 0 and n+m. Sequence of random variables z0; {mt} is a martingale with respect to f0 ⊂ f1 ⊂. 3.2 gambler's ruin, 1 a gambler wins or looses one pound in each round of betting,. Martingale Gambler's Ruin.
From www.playojo.com
Martingale Strategy Martingale Roulette System Explained Martingale Gambler's Ruin 3.2 gambler's ruin, 1 a gambler wins or looses one pound in each round of betting, with equal chances and independently of the past events. If p = 1/2, the random walk is unbiased, whereas if p 6= 1 /2, the random walk is biased. If, for all n 0, the. 4.3 gambler's ruin, 1 a gambler wins or looses. Martingale Gambler's Ruin.
From www.onlinecasinoselite.org
The Gambler’s Ruin and Gambler’s Conceit Martingale Gambler's Ruin We also have boundaries at 0 and n+m. ⊂ f if it satisfies: {mt} is a martingale with respect to f0 ⊂ f1 ⊂. 3.2 gambler's ruin, 1 a gambler wins or looses one pound in each round of betting, with equal chances and independently of the past events. If p = 1/2, the random walk is unbiased, whereas if. Martingale Gambler's Ruin.
From destinytracker.com
Gambler's Ruin Destiny 2 DB Martingale Gambler's Ruin I don't understand 2 steps of the solution to a gambler's ruin exercise. In the gambler’s ruin problem, assume that the gambler initial stake is 1 dollar, and assume that her probability of success on. 4.3 gambler's ruin, 1 a gambler wins or looses one pound in each round of betting, with equal chances and independently of the. 3.2 gambler's. Martingale Gambler's Ruin.
From gamblingmadeeasy.com
Martingale Betting System Debunked Gambler's Fallacy 101 Martingale Gambler's Ruin 3.2 gambler's ruin, 1 a gambler wins or looses one pound in each round of betting, with equal chances and independently of the past events. We also have boundaries at 0 and n+m. In the gambler’s ruin problem, assume that the gambler initial stake is 1 dollar, and assume that her probability of success on. If p = 1/2, the. Martingale Gambler's Ruin.
From www.chegg.com
Solved Consider the following Gambler's Ruin problem. A Martingale Gambler's Ruin If p = 1/2, the random walk is unbiased, whereas if p 6= 1 /2, the random walk is biased. 3.2 gambler's ruin, 1 a gambler wins or looses one pound in each round of betting, with equal chances and independently of the past events. In the gambler’s ruin problem, assume that the gambler initial stake is 1 dollar, and. Martingale Gambler's Ruin.
From www.casino.org
Why The Martingale System Doesn’t Work Roulette System Explained Martingale Gambler's Ruin 4.3 gambler's ruin, 1 a gambler wins or looses one pound in each round of betting, with equal chances and independently of the. I don't understand 2 steps of the solution to a gambler's ruin exercise. Is a martingale with respect to the sequence x0; ⊂ f if it satisfies: In the gambler’s ruin problem, assume that the gambler initial. Martingale Gambler's Ruin.