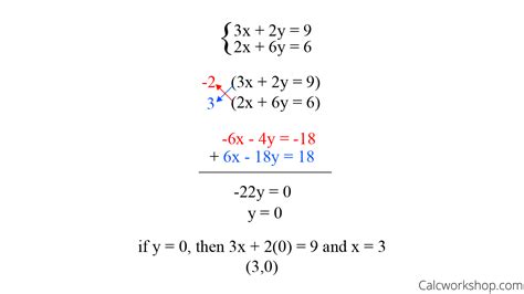
Toby Moyes Blog