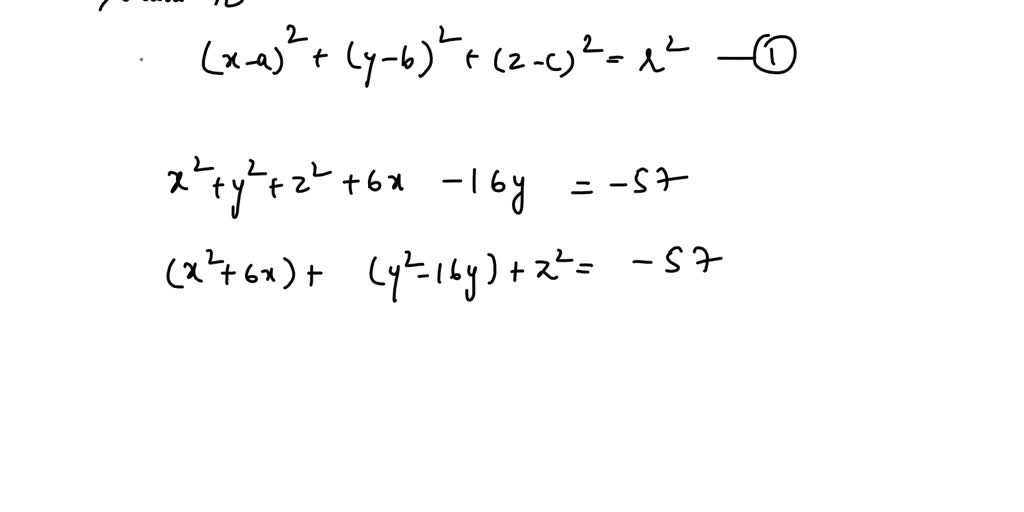
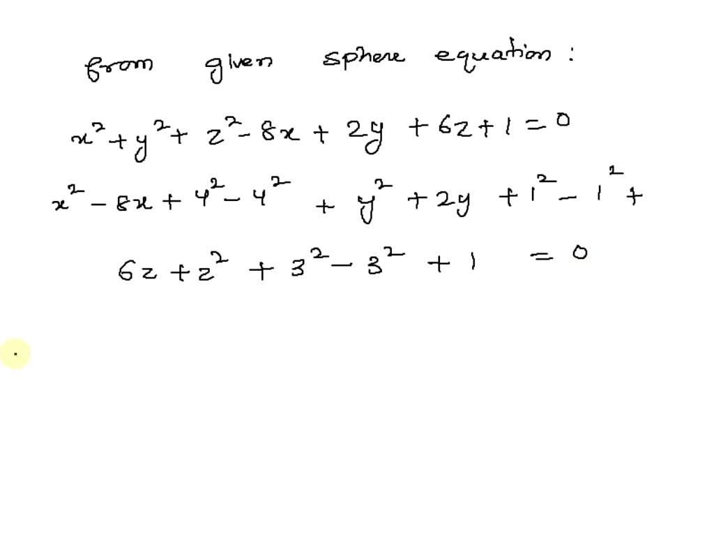
Radius Of Sphere X^2+Y^2+Z^2 . Find the radius of the sphere whose equation is x^2 + y^2 + z^2 = 6x + 8z. Find its center and radius. We’ll find the radius of the sphere using the distance formula, plugging the point on the surface of the sphere in for ???(x_1,y_1,z_1)???, and plugging the center of the sphere in for. Let \(e\) be the region bounded below by the cone \(z = \sqrt{x^2 + y^2}\) and above by the sphere \(z = x^2 + y^2 + z^2\) (figure 15.5.10). Answer by mathlover1(20819) ( show source ):. To find the radius of the circle formed by the intersection of the sphere and the plane, we will follow these steps: In your case, there are two variable for which this needs to be. \(d\rho \, d\phi \, d\theta\) \(d\varphi \, d\rho \, d\theta\) X2 + y2 + z2 + 4 x − 2 y − 4 z = 16. Set up a triple integral in spherical coordinates and find the volume of the region using the following orders of integration: There are 2 steps to solve this one. Write the equation of the sphere in standard form.
from www.chegg.com
Let \(e\) be the region bounded below by the cone \(z = \sqrt{x^2 + y^2}\) and above by the sphere \(z = x^2 + y^2 + z^2\) (figure 15.5.10). Find its center and radius. There are 2 steps to solve this one. In your case, there are two variable for which this needs to be. Find the radius of the sphere whose equation is x^2 + y^2 + z^2 = 6x + 8z. Set up a triple integral in spherical coordinates and find the volume of the region using the following orders of integration: \(d\rho \, d\phi \, d\theta\) \(d\varphi \, d\rho \, d\theta\) We’ll find the radius of the sphere using the distance formula, plugging the point on the surface of the sphere in for ???(x_1,y_1,z_1)???, and plugging the center of the sphere in for. Write the equation of the sphere in standard form. To find the radius of the circle formed by the intersection of the sphere and the plane, we will follow these steps:
Solved Given surface S is the portion of sphere x^2 + y^2 +
Radius Of Sphere X^2+Y^2+Z^2 X2 + y2 + z2 + 4 x − 2 y − 4 z = 16. We’ll find the radius of the sphere using the distance formula, plugging the point on the surface of the sphere in for ???(x_1,y_1,z_1)???, and plugging the center of the sphere in for. Answer by mathlover1(20819) ( show source ):. Find the radius of the sphere whose equation is x^2 + y^2 + z^2 = 6x + 8z. X2 + y2 + z2 + 4 x − 2 y − 4 z = 16. \(d\rho \, d\phi \, d\theta\) \(d\varphi \, d\rho \, d\theta\) There are 2 steps to solve this one. Set up a triple integral in spherical coordinates and find the volume of the region using the following orders of integration: Let \(e\) be the region bounded below by the cone \(z = \sqrt{x^2 + y^2}\) and above by the sphere \(z = x^2 + y^2 + z^2\) (figure 15.5.10). Find its center and radius. To find the radius of the circle formed by the intersection of the sphere and the plane, we will follow these steps: Write the equation of the sphere in standard form. In your case, there are two variable for which this needs to be.
From www.chegg.com
Solved Find the radius and center of the sphere. x^2 + y^2 Radius Of Sphere X^2+Y^2+Z^2 To find the radius of the circle formed by the intersection of the sphere and the plane, we will follow these steps: X2 + y2 + z2 + 4 x − 2 y − 4 z = 16. There are 2 steps to solve this one. Find the radius of the sphere whose equation is x^2 + y^2 + z^2. Radius Of Sphere X^2+Y^2+Z^2.
From www.doubtnut.com
What is the radius of the sphere x^2+y^2+z^2xz=0? Radius Of Sphere X^2+Y^2+Z^2 There are 2 steps to solve this one. Write the equation of the sphere in standard form. Set up a triple integral in spherical coordinates and find the volume of the region using the following orders of integration: To find the radius of the circle formed by the intersection of the sphere and the plane, we will follow these steps:. Radius Of Sphere X^2+Y^2+Z^2.
From mathmonks.com
Radius of a Sphere Formulas, Examples and Diagram Radius Of Sphere X^2+Y^2+Z^2 Set up a triple integral in spherical coordinates and find the volume of the region using the following orders of integration: Write the equation of the sphere in standard form. Let \(e\) be the region bounded below by the cone \(z = \sqrt{x^2 + y^2}\) and above by the sphere \(z = x^2 + y^2 + z^2\) (figure 15.5.10). X2. Radius Of Sphere X^2+Y^2+Z^2.
From www.numerade.com
SOLVEDIn Problems 3944, find the radius and center of each sphere. x Radius Of Sphere X^2+Y^2+Z^2 \(d\rho \, d\phi \, d\theta\) \(d\varphi \, d\rho \, d\theta\) X2 + y2 + z2 + 4 x − 2 y − 4 z = 16. There are 2 steps to solve this one. We’ll find the radius of the sphere using the distance formula, plugging the point on the surface of the sphere in for ???(x_1,y_1,z_1)???, and plugging the. Radius Of Sphere X^2+Y^2+Z^2.
From www.numerade.com
SOLVED find the center and radius of the sphere x ^ 2 + y ^ 2 + z ^ 2 Radius Of Sphere X^2+Y^2+Z^2 Write the equation of the sphere in standard form. Find the radius of the sphere whose equation is x^2 + y^2 + z^2 = 6x + 8z. To find the radius of the circle formed by the intersection of the sphere and the plane, we will follow these steps: Answer by mathlover1(20819) ( show source ):. Find its center and. Radius Of Sphere X^2+Y^2+Z^2.
From www.youtube.com
Find the equation of the sphere which touches the sphere `x^2+y^2+z^2 Radius Of Sphere X^2+Y^2+Z^2 Set up a triple integral in spherical coordinates and find the volume of the region using the following orders of integration: \(d\rho \, d\phi \, d\theta\) \(d\varphi \, d\rho \, d\theta\) There are 2 steps to solve this one. In your case, there are two variable for which this needs to be. Find the radius of the sphere whose equation. Radius Of Sphere X^2+Y^2+Z^2.
From math.stackexchange.com
calculus Find the volume of the solid that lies above the cone z^2 Radius Of Sphere X^2+Y^2+Z^2 X2 + y2 + z2 + 4 x − 2 y − 4 z = 16. We’ll find the radius of the sphere using the distance formula, plugging the point on the surface of the sphere in for ???(x_1,y_1,z_1)???, and plugging the center of the sphere in for. To find the radius of the circle formed by the intersection of. Radius Of Sphere X^2+Y^2+Z^2.
From www.numerade.com
SOLVED Calculate the volume of the sphere x^2+y^2+z^2=a^2, using both Radius Of Sphere X^2+Y^2+Z^2 There are 2 steps to solve this one. Find the radius of the sphere whose equation is x^2 + y^2 + z^2 = 6x + 8z. Let \(e\) be the region bounded below by the cone \(z = \sqrt{x^2 + y^2}\) and above by the sphere \(z = x^2 + y^2 + z^2\) (figure 15.5.10). \(d\rho \, d\phi \, d\theta\). Radius Of Sphere X^2+Y^2+Z^2.
From www.numerade.com
SOLVEDIn Exercises 6374, find the center and radius of the sphere. x Radius Of Sphere X^2+Y^2+Z^2 Answer by mathlover1(20819) ( show source ):. Find its center and radius. Find the radius of the sphere whose equation is x^2 + y^2 + z^2 = 6x + 8z. \(d\rho \, d\phi \, d\theta\) \(d\varphi \, d\rho \, d\theta\) Write the equation of the sphere in standard form. Let \(e\) be the region bounded below by the cone \(z. Radius Of Sphere X^2+Y^2+Z^2.
From www.chegg.com
Solved Find the center and radius of the sphere x^2 + y^2 + Radius Of Sphere X^2+Y^2+Z^2 Write the equation of the sphere in standard form. There are 2 steps to solve this one. We’ll find the radius of the sphere using the distance formula, plugging the point on the surface of the sphere in for ???(x_1,y_1,z_1)???, and plugging the center of the sphere in for. Set up a triple integral in spherical coordinates and find the. Radius Of Sphere X^2+Y^2+Z^2.
From www.toppr.com
The radius of the circle in which the sphere x^2 + y^2 + z^2 + 2x 2y Radius Of Sphere X^2+Y^2+Z^2 Find its center and radius. In your case, there are two variable for which this needs to be. Find the radius of the sphere whose equation is x^2 + y^2 + z^2 = 6x + 8z. Set up a triple integral in spherical coordinates and find the volume of the region using the following orders of integration: Let \(e\) be. Radius Of Sphere X^2+Y^2+Z^2.
From www.doubtnut.com
If the radius of the sphere x^2+y^2+z^26x8y+10z+lambda=0 is unity Radius Of Sphere X^2+Y^2+Z^2 Find its center and radius. Write the equation of the sphere in standard form. In your case, there are two variable for which this needs to be. There are 2 steps to solve this one. To find the radius of the circle formed by the intersection of the sphere and the plane, we will follow these steps: We’ll find the. Radius Of Sphere X^2+Y^2+Z^2.
From www.chegg.com
Solved Consider the sphere x^2 + y^2 + z^2 = 2 and the Radius Of Sphere X^2+Y^2+Z^2 To find the radius of the circle formed by the intersection of the sphere and the plane, we will follow these steps: We’ll find the radius of the sphere using the distance formula, plugging the point on the surface of the sphere in for ???(x_1,y_1,z_1)???, and plugging the center of the sphere in for. X2 + y2 + z2 +. Radius Of Sphere X^2+Y^2+Z^2.
From www.numerade.com
SOLVED find the surface area of the part of the sphere x^2+y^2+z^2=36 Radius Of Sphere X^2+Y^2+Z^2 We’ll find the radius of the sphere using the distance formula, plugging the point on the surface of the sphere in for ???(x_1,y_1,z_1)???, and plugging the center of the sphere in for. Let \(e\) be the region bounded below by the cone \(z = \sqrt{x^2 + y^2}\) and above by the sphere \(z = x^2 + y^2 + z^2\) (figure. Radius Of Sphere X^2+Y^2+Z^2.
From www.chegg.com
Given surface S is the portion of sphere x^2 +y^2 + Radius Of Sphere X^2+Y^2+Z^2 There are 2 steps to solve this one. Answer by mathlover1(20819) ( show source ):. \(d\rho \, d\phi \, d\theta\) \(d\varphi \, d\rho \, d\theta\) To find the radius of the circle formed by the intersection of the sphere and the plane, we will follow these steps: Let \(e\) be the region bounded below by the cone \(z = \sqrt{x^2. Radius Of Sphere X^2+Y^2+Z^2.
From quizlet.com
Find the volume of the sphere x^2+y^2+z^2=9 using the shel Quizlet Radius Of Sphere X^2+Y^2+Z^2 Let \(e\) be the region bounded below by the cone \(z = \sqrt{x^2 + y^2}\) and above by the sphere \(z = x^2 + y^2 + z^2\) (figure 15.5.10). Find the radius of the sphere whose equation is x^2 + y^2 + z^2 = 6x + 8z. Set up a triple integral in spherical coordinates and find the volume of. Radius Of Sphere X^2+Y^2+Z^2.
From www.youtube.com
The radius of the circle in which the sphere x^2+y^2+z^2+2x2y4z19=0 Radius Of Sphere X^2+Y^2+Z^2 Let \(e\) be the region bounded below by the cone \(z = \sqrt{x^2 + y^2}\) and above by the sphere \(z = x^2 + y^2 + z^2\) (figure 15.5.10). Set up a triple integral in spherical coordinates and find the volume of the region using the following orders of integration: Answer by mathlover1(20819) ( show source ):. X2 + y2. Radius Of Sphere X^2+Y^2+Z^2.
From www.chegg.com
Solved Find the center and radius of the sphere. X^2 + y^2 Radius Of Sphere X^2+Y^2+Z^2 We’ll find the radius of the sphere using the distance formula, plugging the point on the surface of the sphere in for ???(x_1,y_1,z_1)???, and plugging the center of the sphere in for. Let \(e\) be the region bounded below by the cone \(z = \sqrt{x^2 + y^2}\) and above by the sphere \(z = x^2 + y^2 + z^2\) (figure. Radius Of Sphere X^2+Y^2+Z^2.
From www.numerade.com
SOLVED Find the center and radius of the sphere with the general Radius Of Sphere X^2+Y^2+Z^2 Find the radius of the sphere whose equation is x^2 + y^2 + z^2 = 6x + 8z. Set up a triple integral in spherical coordinates and find the volume of the region using the following orders of integration: We’ll find the radius of the sphere using the distance formula, plugging the point on the surface of the sphere in. Radius Of Sphere X^2+Y^2+Z^2.
From www.gauthmath.com
Solved Find the parametric representation for the sphere x^2+y^2+z^2=a Radius Of Sphere X^2+Y^2+Z^2 Let \(e\) be the region bounded below by the cone \(z = \sqrt{x^2 + y^2}\) and above by the sphere \(z = x^2 + y^2 + z^2\) (figure 15.5.10). Answer by mathlover1(20819) ( show source ):. Find the radius of the sphere whose equation is x^2 + y^2 + z^2 = 6x + 8z. Find its center and radius. Set. Radius Of Sphere X^2+Y^2+Z^2.
From www.doubtnut.com
[Tamil] The radius of the circle in which the sphere x^(2)+y^2+z^2+2 Radius Of Sphere X^2+Y^2+Z^2 There are 2 steps to solve this one. Let \(e\) be the region bounded below by the cone \(z = \sqrt{x^2 + y^2}\) and above by the sphere \(z = x^2 + y^2 + z^2\) (figure 15.5.10). We’ll find the radius of the sphere using the distance formula, plugging the point on the surface of the sphere in for ???(x_1,y_1,z_1)???,. Radius Of Sphere X^2+Y^2+Z^2.
From www.chegg.com
Solved Find the radius and center of the sphere Radius Of Sphere X^2+Y^2+Z^2 Set up a triple integral in spherical coordinates and find the volume of the region using the following orders of integration: Find its center and radius. Answer by mathlover1(20819) ( show source ):. Let \(e\) be the region bounded below by the cone \(z = \sqrt{x^2 + y^2}\) and above by the sphere \(z = x^2 + y^2 + z^2\). Radius Of Sphere X^2+Y^2+Z^2.
From www.youtube.com
Convert a Rectangular Equation to a Spherical Equation x^2+y^2z^2=0 Radius Of Sphere X^2+Y^2+Z^2 Write the equation of the sphere in standard form. In your case, there are two variable for which this needs to be. Find its center and radius. We’ll find the radius of the sphere using the distance formula, plugging the point on the surface of the sphere in for ???(x_1,y_1,z_1)???, and plugging the center of the sphere in for. Answer. Radius Of Sphere X^2+Y^2+Z^2.
From www.toppr.com
The radius of the circle in which the sphere x^2 + y^2 + z^2 + 2x 2y Radius Of Sphere X^2+Y^2+Z^2 There are 2 steps to solve this one. X2 + y2 + z2 + 4 x − 2 y − 4 z = 16. We’ll find the radius of the sphere using the distance formula, plugging the point on the surface of the sphere in for ???(x_1,y_1,z_1)???, and plugging the center of the sphere in for. In your case, there. Radius Of Sphere X^2+Y^2+Z^2.
From quizlet.com
Find the volume of the sphere x^2+y^2+z^2=9 using the shel Quizlet Radius Of Sphere X^2+Y^2+Z^2 Find its center and radius. In your case, there are two variable for which this needs to be. To find the radius of the circle formed by the intersection of the sphere and the plane, we will follow these steps: Let \(e\) be the region bounded below by the cone \(z = \sqrt{x^2 + y^2}\) and above by the sphere. Radius Of Sphere X^2+Y^2+Z^2.
From www.numerade.com
SOLVEDIn Exercises 6170, find the center and radius of the sphere. x Radius Of Sphere X^2+Y^2+Z^2 Write the equation of the sphere in standard form. Set up a triple integral in spherical coordinates and find the volume of the region using the following orders of integration: X2 + y2 + z2 + 4 x − 2 y − 4 z = 16. In your case, there are two variable for which this needs to be. Find. Radius Of Sphere X^2+Y^2+Z^2.
From www.numerade.com
SOLVEDIn Problems 3944, find the radius and center of each sphere. x Radius Of Sphere X^2+Y^2+Z^2 In your case, there are two variable for which this needs to be. We’ll find the radius of the sphere using the distance formula, plugging the point on the surface of the sphere in for ???(x_1,y_1,z_1)???, and plugging the center of the sphere in for. Write the equation of the sphere in standard form. There are 2 steps to solve. Radius Of Sphere X^2+Y^2+Z^2.
From www.doubtnut.com
The radius of the circle in which the sphere x^(2)=y^(2)+z^(2)+2z2y4 Radius Of Sphere X^2+Y^2+Z^2 Set up a triple integral in spherical coordinates and find the volume of the region using the following orders of integration: Find the radius of the sphere whose equation is x^2 + y^2 + z^2 = 6x + 8z. We’ll find the radius of the sphere using the distance formula, plugging the point on the surface of the sphere in. Radius Of Sphere X^2+Y^2+Z^2.
From quizlet.com
Let surface S be the part of the sphere x^2 +y^2 +z^2 = 4 th Quizlet Radius Of Sphere X^2+Y^2+Z^2 Answer by mathlover1(20819) ( show source ):. We’ll find the radius of the sphere using the distance formula, plugging the point on the surface of the sphere in for ???(x_1,y_1,z_1)???, and plugging the center of the sphere in for. Find the radius of the sphere whose equation is x^2 + y^2 + z^2 = 6x + 8z. In your case,. Radius Of Sphere X^2+Y^2+Z^2.
From www.numerade.com
SOLVED Write the equation of the sphere in standard form x2 + y2 + 22 Radius Of Sphere X^2+Y^2+Z^2 X2 + y2 + z2 + 4 x − 2 y − 4 z = 16. We’ll find the radius of the sphere using the distance formula, plugging the point on the surface of the sphere in for ???(x_1,y_1,z_1)???, and plugging the center of the sphere in for. Write the equation of the sphere in standard form. There are 2. Radius Of Sphere X^2+Y^2+Z^2.
From www.numerade.com
SOLVEDThe length of the radius of the sphere x^2+y^2+z^2+2 x4 y=10 is Radius Of Sphere X^2+Y^2+Z^2 Answer by mathlover1(20819) ( show source ):. Set up a triple integral in spherical coordinates and find the volume of the region using the following orders of integration: Write the equation of the sphere in standard form. Find the radius of the sphere whose equation is x^2 + y^2 + z^2 = 6x + 8z. In your case, there are. Radius Of Sphere X^2+Y^2+Z^2.
From www.numerade.com
SOLVEDThe centre and radius of the section of the sphere x^{2}+y^{2}+z Radius Of Sphere X^2+Y^2+Z^2 Find its center and radius. Find the radius of the sphere whose equation is x^2 + y^2 + z^2 = 6x + 8z. Set up a triple integral in spherical coordinates and find the volume of the region using the following orders of integration: We’ll find the radius of the sphere using the distance formula, plugging the point on the. Radius Of Sphere X^2+Y^2+Z^2.
From www.chegg.com
Solved Given surface S is the portion of sphere x^2 + y^2 + Radius Of Sphere X^2+Y^2+Z^2 There are 2 steps to solve this one. To find the radius of the circle formed by the intersection of the sphere and the plane, we will follow these steps: X2 + y2 + z2 + 4 x − 2 y − 4 z = 16. We’ll find the radius of the sphere using the distance formula, plugging the point. Radius Of Sphere X^2+Y^2+Z^2.
From www.chegg.com
Solved Find the center and radius of the sphere. x^2 + y^2 Radius Of Sphere X^2+Y^2+Z^2 To find the radius of the circle formed by the intersection of the sphere and the plane, we will follow these steps: Find the radius of the sphere whose equation is x^2 + y^2 + z^2 = 6x + 8z. X2 + y2 + z2 + 4 x − 2 y − 4 z = 16. Write the equation of. Radius Of Sphere X^2+Y^2+Z^2.
From www.youtube.com
Express the volume of the sphere x^2+y^2+z^2=a^2 as a volume integral Radius Of Sphere X^2+Y^2+Z^2 Write the equation of the sphere in standard form. \(d\rho \, d\phi \, d\theta\) \(d\varphi \, d\rho \, d\theta\) Find the radius of the sphere whose equation is x^2 + y^2 + z^2 = 6x + 8z. To find the radius of the circle formed by the intersection of the sphere and the plane, we will follow these steps: X2. Radius Of Sphere X^2+Y^2+Z^2.