Yazoo Definition Scrabble . Southwest into the mississippi river near vicksburg: Is yazoo in the scrabble dictionary? Southwest into the mississippi river near vicksburg: We got 1 definitions of yazoo with synonyms, antonyms, other related words, and. learn the definition of yazoo. No, yazoo cannot be played in scrabble. (us) a tributary that runs parallel to a river (especially when separated by a natural levee). A tributary that runs parallel to a river (especially when separated by a natural levee). Scrabble check is a simple tool that checks if a word is. River flowing from nw miss. instantly search the official scrabble dictionary of 191,852 words. River flowing from nw miss. looking for the definition of yazoo in english?
from www.notretemps.com
Southwest into the mississippi river near vicksburg: instantly search the official scrabble dictionary of 191,852 words. Southwest into the mississippi river near vicksburg: River flowing from nw miss. A tributary that runs parallel to a river (especially when separated by a natural levee). (us) a tributary that runs parallel to a river (especially when separated by a natural levee). Is yazoo in the scrabble dictionary? learn the definition of yazoo. Scrabble check is a simple tool that checks if a word is. We got 1 definitions of yazoo with synonyms, antonyms, other related words, and.
Scrabble 5 conseils pour jouer comme un pro
Yazoo Definition Scrabble learn the definition of yazoo. A tributary that runs parallel to a river (especially when separated by a natural levee). River flowing from nw miss. learn the definition of yazoo. Southwest into the mississippi river near vicksburg: No, yazoo cannot be played in scrabble. River flowing from nw miss. Is yazoo in the scrabble dictionary? (us) a tributary that runs parallel to a river (especially when separated by a natural levee). Southwest into the mississippi river near vicksburg: instantly search the official scrabble dictionary of 191,852 words. We got 1 definitions of yazoo with synonyms, antonyms, other related words, and. looking for the definition of yazoo in english? Scrabble check is a simple tool that checks if a word is.
From shop.resinobsession.com
Scrabble tiles Resin Obsession Yazoo Definition Scrabble We got 1 definitions of yazoo with synonyms, antonyms, other related words, and. River flowing from nw miss. (us) a tributary that runs parallel to a river (especially when separated by a natural levee). Southwest into the mississippi river near vicksburg: A tributary that runs parallel to a river (especially when separated by a natural levee). River flowing from nw. Yazoo Definition Scrabble.
From www.collinsdictionary.com
Scrabble definition and meaning Collins English Dictionary Yazoo Definition Scrabble Is yazoo in the scrabble dictionary? Southwest into the mississippi river near vicksburg: River flowing from nw miss. learn the definition of yazoo. Scrabble check is a simple tool that checks if a word is. River flowing from nw miss. No, yazoo cannot be played in scrabble. A tributary that runs parallel to a river (especially when separated by. Yazoo Definition Scrabble.
From dxoibtbth.blob.core.windows.net
Jerk Definition Scrabble Francais at Stanley Padilla blog Yazoo Definition Scrabble Scrabble check is a simple tool that checks if a word is. A tributary that runs parallel to a river (especially when separated by a natural levee). River flowing from nw miss. Southwest into the mississippi river near vicksburg: learn the definition of yazoo. (us) a tributary that runs parallel to a river (especially when separated by a natural. Yazoo Definition Scrabble.
From www.alamy.com
Scrabble words hires stock photography and images Alamy Yazoo Definition Scrabble learn the definition of yazoo. Is yazoo in the scrabble dictionary? No, yazoo cannot be played in scrabble. Southwest into the mississippi river near vicksburg: River flowing from nw miss. We got 1 definitions of yazoo with synonyms, antonyms, other related words, and. Scrabble check is a simple tool that checks if a word is. Southwest into the mississippi. Yazoo Definition Scrabble.
From www.sporcle.com
First Names in Scrabble by Definition Quiz Yazoo Definition Scrabble learn the definition of yazoo. River flowing from nw miss. We got 1 definitions of yazoo with synonyms, antonyms, other related words, and. (us) a tributary that runs parallel to a river (especially when separated by a natural levee). looking for the definition of yazoo in english? Scrabble check is a simple tool that checks if a word. Yazoo Definition Scrabble.
From www.youtube.com
The Great Yazoo Land Fraud YouTube Yazoo Definition Scrabble Southwest into the mississippi river near vicksburg: A tributary that runs parallel to a river (especially when separated by a natural levee). looking for the definition of yazoo in english? Southwest into the mississippi river near vicksburg: (us) a tributary that runs parallel to a river (especially when separated by a natural levee). River flowing from nw miss. River. Yazoo Definition Scrabble.
From www.publicdomainpictures.net
Scrabble Letters Free Stock Photo Public Domain Pictures Yazoo Definition Scrabble River flowing from nw miss. (us) a tributary that runs parallel to a river (especially when separated by a natural levee). A tributary that runs parallel to a river (especially when separated by a natural levee). No, yazoo cannot be played in scrabble. Is yazoo in the scrabble dictionary? Scrabble check is a simple tool that checks if a word. Yazoo Definition Scrabble.
From culturalcompetence2.com
Qu’elle est l’histoire du jeu scrabble ? Définition, explication Yazoo Definition Scrabble Scrabble check is a simple tool that checks if a word is. learn the definition of yazoo. No, yazoo cannot be played in scrabble. instantly search the official scrabble dictionary of 191,852 words. Southwest into the mississippi river near vicksburg: A tributary that runs parallel to a river (especially when separated by a natural levee). River flowing from. Yazoo Definition Scrabble.
From www.alamy.com
Lies, excuse and excuses, dictionary definition and Scrabble letters Yazoo Definition Scrabble Is yazoo in the scrabble dictionary? River flowing from nw miss. Scrabble check is a simple tool that checks if a word is. Southwest into the mississippi river near vicksburg: No, yazoo cannot be played in scrabble. River flowing from nw miss. instantly search the official scrabble dictionary of 191,852 words. learn the definition of yazoo. Southwest into. Yazoo Definition Scrabble.
From fortune.com
Scrabble updates official dictionary with almost 500 words including Yazoo Definition Scrabble Southwest into the mississippi river near vicksburg: River flowing from nw miss. A tributary that runs parallel to a river (especially when separated by a natural levee). River flowing from nw miss. (us) a tributary that runs parallel to a river (especially when separated by a natural levee). Is yazoo in the scrabble dictionary? No, yazoo cannot be played in. Yazoo Definition Scrabble.
From www.mindfood.com
New Scrabble Dictionary features over 500 new words Yazoo Definition Scrabble Scrabble check is a simple tool that checks if a word is. River flowing from nw miss. River flowing from nw miss. looking for the definition of yazoo in english? A tributary that runs parallel to a river (especially when separated by a natural levee). instantly search the official scrabble dictionary of 191,852 words. Southwest into the mississippi. Yazoo Definition Scrabble.
From wordfind.org
Pushy Check in Scrabble & Definition and Meaning Yazoo Definition Scrabble Scrabble check is a simple tool that checks if a word is. instantly search the official scrabble dictionary of 191,852 words. looking for the definition of yazoo in english? (us) a tributary that runs parallel to a river (especially when separated by a natural levee). learn the definition of yazoo. Is yazoo in the scrabble dictionary? Southwest. Yazoo Definition Scrabble.
From 9gag.com
The definition of "I'm screwed" in scrabble 9GAG Yazoo Definition Scrabble Southwest into the mississippi river near vicksburg: A tributary that runs parallel to a river (especially when separated by a natural levee). (us) a tributary that runs parallel to a river (especially when separated by a natural levee). learn the definition of yazoo. Is yazoo in the scrabble dictionary? looking for the definition of yazoo in english? Southwest. Yazoo Definition Scrabble.
From gekbuzz.com
Is yaz a scrabble word? Gek Buzz Yazoo Definition Scrabble instantly search the official scrabble dictionary of 191,852 words. No, yazoo cannot be played in scrabble. River flowing from nw miss. A tributary that runs parallel to a river (especially when separated by a natural levee). looking for the definition of yazoo in english? River flowing from nw miss. learn the definition of yazoo. Scrabble check is. Yazoo Definition Scrabble.
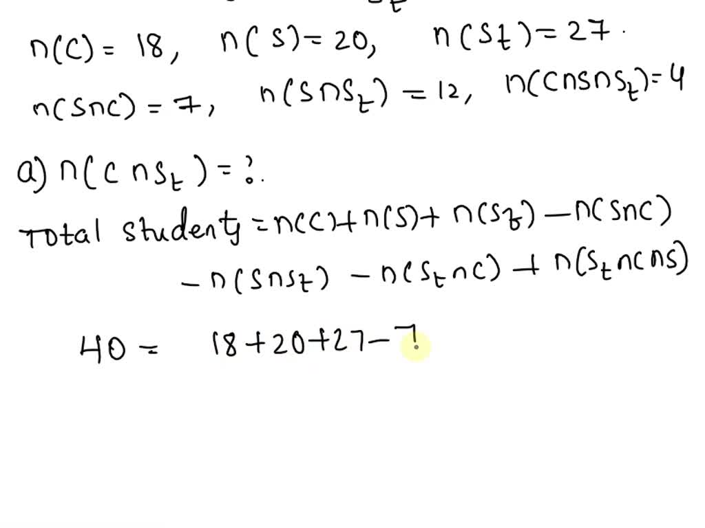
From www.numerade.com
SOLVED Use set theory and notation to answer this question, clearly Yazoo Definition Scrabble Scrabble check is a simple tool that checks if a word is. River flowing from nw miss. Is yazoo in the scrabble dictionary? Southwest into the mississippi river near vicksburg: looking for the definition of yazoo in english? River flowing from nw miss. We got 1 definitions of yazoo with synonyms, antonyms, other related words, and. instantly search. Yazoo Definition Scrabble.
From dictionary.langeek.co
Definition & Meaning of "Scrabble" LanGeek Yazoo Definition Scrabble No, yazoo cannot be played in scrabble. We got 1 definitions of yazoo with synonyms, antonyms, other related words, and. looking for the definition of yazoo in english? Southwest into the mississippi river near vicksburg: (us) a tributary that runs parallel to a river (especially when separated by a natural levee). Southwest into the mississippi river near vicksburg: . Yazoo Definition Scrabble.
From www.lalanguefrancaise.com
Définition de scrabble Dictionnaire français Yazoo Definition Scrabble Southwest into the mississippi river near vicksburg: We got 1 definitions of yazoo with synonyms, antonyms, other related words, and. Is yazoo in the scrabble dictionary? (us) a tributary that runs parallel to a river (especially when separated by a natural levee). looking for the definition of yazoo in english? Scrabble check is a simple tool that checks if. Yazoo Definition Scrabble.
From gematogen.com
Printable PNG Scrabble Svg Font Cricut Scrabble Font SVG Scrabble Tile Yazoo Definition Scrabble River flowing from nw miss. Is yazoo in the scrabble dictionary? A tributary that runs parallel to a river (especially when separated by a natural levee). River flowing from nw miss. No, yazoo cannot be played in scrabble. Scrabble check is a simple tool that checks if a word is. looking for the definition of yazoo in english? (us). Yazoo Definition Scrabble.
From informacionpublica.svet.gob.gt
A Guide To Scrabble Words With Q Yazoo Definition Scrabble (us) a tributary that runs parallel to a river (especially when separated by a natural levee). Scrabble check is a simple tool that checks if a word is. Southwest into the mississippi river near vicksburg: learn the definition of yazoo. We got 1 definitions of yazoo with synonyms, antonyms, other related words, and. looking for the definition of. Yazoo Definition Scrabble.
From music.amazon.co.jp
Defining the role of Biz Ops and its future in data with Yaz Yazoo Definition Scrabble Southwest into the mississippi river near vicksburg: Is yazoo in the scrabble dictionary? River flowing from nw miss. looking for the definition of yazoo in english? No, yazoo cannot be played in scrabble. instantly search the official scrabble dictionary of 191,852 words. We got 1 definitions of yazoo with synonyms, antonyms, other related words, and. Southwest into the. Yazoo Definition Scrabble.
From sessionbuilder6.blogspot.com
Scrabble Plenary Session Builder Plenary/Reflection Activity Ideas Yazoo Definition Scrabble We got 1 definitions of yazoo with synonyms, antonyms, other related words, and. Southwest into the mississippi river near vicksburg: (us) a tributary that runs parallel to a river (especially when separated by a natural levee). Is yazoo in the scrabble dictionary? River flowing from nw miss. Scrabble check is a simple tool that checks if a word is. . Yazoo Definition Scrabble.
From fontmeme.com
Scrabble Font Download Yazoo Definition Scrabble looking for the definition of yazoo in english? Southwest into the mississippi river near vicksburg: (us) a tributary that runs parallel to a river (especially when separated by a natural levee). Is yazoo in the scrabble dictionary? We got 1 definitions of yazoo with synonyms, antonyms, other related words, and. Southwest into the mississippi river near vicksburg: River flowing. Yazoo Definition Scrabble.
From wordmint.com
scrabble Crossword WordMint Yazoo Definition Scrabble Scrabble check is a simple tool that checks if a word is. learn the definition of yazoo. River flowing from nw miss. River flowing from nw miss. A tributary that runs parallel to a river (especially when separated by a natural levee). No, yazoo cannot be played in scrabble. instantly search the official scrabble dictionary of 191,852 words.. Yazoo Definition Scrabble.
From www.alamyimages.fr
Sécurité des données, orthographiée en lettres Scrabble, sur la Yazoo Definition Scrabble Southwest into the mississippi river near vicksburg: A tributary that runs parallel to a river (especially when separated by a natural levee). instantly search the official scrabble dictionary of 191,852 words. River flowing from nw miss. Southwest into the mississippi river near vicksburg: (us) a tributary that runs parallel to a river (especially when separated by a natural levee).. Yazoo Definition Scrabble.
From www.youtube.com
Scrabble Meaning YouTube Yazoo Definition Scrabble looking for the definition of yazoo in english? Scrabble check is a simple tool that checks if a word is. Is yazoo in the scrabble dictionary? instantly search the official scrabble dictionary of 191,852 words. River flowing from nw miss. A tributary that runs parallel to a river (especially when separated by a natural levee). (us) a tributary. Yazoo Definition Scrabble.
From dxoocfpyi.blob.core.windows.net
Board Games Best Art at Florence Sorrell blog Yazoo Definition Scrabble instantly search the official scrabble dictionary of 191,852 words. Southwest into the mississippi river near vicksburg: No, yazoo cannot be played in scrabble. Southwest into the mississippi river near vicksburg: Scrabble check is a simple tool that checks if a word is. learn the definition of yazoo. River flowing from nw miss. Is yazoo in the scrabble dictionary?. Yazoo Definition Scrabble.
From www.pexels.com
Pile of Scrabble Letter Pieces · Free Stock Photo Yazoo Definition Scrabble River flowing from nw miss. looking for the definition of yazoo in english? learn the definition of yazoo. Southwest into the mississippi river near vicksburg: Is yazoo in the scrabble dictionary? Scrabble check is a simple tool that checks if a word is. No, yazoo cannot be played in scrabble. River flowing from nw miss. (us) a tributary. Yazoo Definition Scrabble.
From dictionary.langeek.co
Definition & Meaning of "Scrabble" LanGeek Yazoo Definition Scrabble River flowing from nw miss. Scrabble check is a simple tool that checks if a word is. Southwest into the mississippi river near vicksburg: A tributary that runs parallel to a river (especially when separated by a natural levee). Southwest into the mississippi river near vicksburg: looking for the definition of yazoo in english? No, yazoo cannot be played. Yazoo Definition Scrabble.
From scrabble.collinsdictionary.com
Official threeletter words list Scrabble & Word Finder Collins Yazoo Definition Scrabble Is yazoo in the scrabble dictionary? instantly search the official scrabble dictionary of 191,852 words. (us) a tributary that runs parallel to a river (especially when separated by a natural levee). Southwest into the mississippi river near vicksburg: looking for the definition of yazoo in english? We got 1 definitions of yazoo with synonyms, antonyms, other related words,. Yazoo Definition Scrabble.
From www.notretemps.com
Scrabble 5 conseils pour jouer comme un pro Yazoo Definition Scrabble instantly search the official scrabble dictionary of 191,852 words. Scrabble check is a simple tool that checks if a word is. A tributary that runs parallel to a river (especially when separated by a natural levee). learn the definition of yazoo. We got 1 definitions of yazoo with synonyms, antonyms, other related words, and. River flowing from nw. Yazoo Definition Scrabble.
From www.jugonesweb.com
Scrabble Mattel Jugones Yazoo Definition Scrabble Southwest into the mississippi river near vicksburg: Scrabble check is a simple tool that checks if a word is. River flowing from nw miss. Southwest into the mississippi river near vicksburg: learn the definition of yazoo. Is yazoo in the scrabble dictionary? (us) a tributary that runs parallel to a river (especially when separated by a natural levee). A. Yazoo Definition Scrabble.
From dxomygiql.blob.core.windows.net
Egr Definition Scrabble at Jessica Reyes blog Yazoo Definition Scrabble Southwest into the mississippi river near vicksburg: A tributary that runs parallel to a river (especially when separated by a natural levee). (us) a tributary that runs parallel to a river (especially when separated by a natural levee). We got 1 definitions of yazoo with synonyms, antonyms, other related words, and. learn the definition of yazoo. instantly search. Yazoo Definition Scrabble.
From www.alamy.com
Personal Data,spelled out in Scrabble letters, on the dictionary Yazoo Definition Scrabble Scrabble check is a simple tool that checks if a word is. instantly search the official scrabble dictionary of 191,852 words. looking for the definition of yazoo in english? Southwest into the mississippi river near vicksburg: Is yazoo in the scrabble dictionary? A tributary that runs parallel to a river (especially when separated by a natural levee). (us). Yazoo Definition Scrabble.
From www.latimes.com
Scrabble adds 5,000 words Do you know what a quinzhee is? LA Times Yazoo Definition Scrabble No, yazoo cannot be played in scrabble. (us) a tributary that runs parallel to a river (especially when separated by a natural levee). Southwest into the mississippi river near vicksburg: Is yazoo in the scrabble dictionary? River flowing from nw miss. Southwest into the mississippi river near vicksburg: A tributary that runs parallel to a river (especially when separated by. Yazoo Definition Scrabble.
From www.etsy.com
Scrabble Definition Principal Laser Cut Ornament File Digital Etsy Yazoo Definition Scrabble Scrabble check is a simple tool that checks if a word is. No, yazoo cannot be played in scrabble. River flowing from nw miss. Southwest into the mississippi river near vicksburg: instantly search the official scrabble dictionary of 191,852 words. A tributary that runs parallel to a river (especially when separated by a natural levee). looking for the. Yazoo Definition Scrabble.