Rectangular Tank Area Formula . The formula used to calculate the surface area of a rectangular tank is: L is the length of the tank. A rectangular tank surface area calculator. Surface area = 2lw + 2lh + 2wh. Surface area = 2lw + 2lh + 2wh. If you want to calculate the surface area of a rectangular tank, you can use the formula: V = l × w × h. The formula for calculating the surface area of a rectangular tank is: L is the length, w is the width, and. The volume of a rectangular tank is calculated by multiplying the length, width, and height of the tank. W is the width of. Here are the essential formulas for a rectangular tank: Calculate the volume, capacity, and the surface area of a rectangle shaped tank. This calculator uses inches for measurements. S a = 2 (l w + l h + w h) where:
from www.youtube.com
The formula for calculating the surface area of a rectangular tank is: Calculate the volume, capacity, and the surface area of a rectangle shaped tank. Surface area = 2lw + 2lh + 2wh. Surface area = 2lw + 2lh + 2wh. Here are the essential formulas for a rectangular tank: A rectangular tank surface area calculator. A = 2lw + 2lh + 2wh where l is length, w is width, and h. The volume of a rectangular tank is calculated by multiplying the length, width, and height of the tank. The formula used to calculate the surface area of a rectangular tank is: L is the length of the tank.
Rectangular tank calculation 👌👌👌 YouTube
Rectangular Tank Area Formula This calculator uses inches for measurements. The volume of a rectangular tank is calculated by multiplying the length, width, and height of the tank. If you want to calculate the surface area of a rectangular tank, you can use the formula: A = 2lw + 2lh + 2wh where l is length, w is width, and h. L is the length of the tank. Surface area = 2lw + 2lh + 2wh. V = l × w × h. A rectangular tank surface area calculator. S a = 2 (l w + l h + w h) where: Here are the essential formulas for a rectangular tank: Calculate the volume, capacity, and the surface area of a rectangle shaped tank. The formula used to calculate the surface area of a rectangular tank is: L is the length, w is the width, and. The formula for calculating the surface area of a rectangular tank is: Surface area = 2lw + 2lh + 2wh. W is the width of.
From weselegant.weebly.com
Example of calculation of rectangular steel tank weselegant Rectangular Tank Area Formula The formula for calculating the surface area of a rectangular tank is: A rectangular tank surface area calculator. V = l × w × h. Surface area = 2lw + 2lh + 2wh. Here are the essential formulas for a rectangular tank: Surface area = 2lw + 2lh + 2wh. S a = 2 (l w + l h +. Rectangular Tank Area Formula.
From es.scribd.com
Rectangular Tank Calculation Rectangular Tank Area Formula Surface area = 2lw + 2lh + 2wh. L is the length of the tank. This calculator uses inches for measurements. Surface area = 2lw + 2lh + 2wh. L is the length, w is the width, and. If you want to calculate the surface area of a rectangular tank, you can use the formula: Here are the essential formulas. Rectangular Tank Area Formula.
From www.youtube.com
Rectangular tank calculation 👌👌👌 YouTube Rectangular Tank Area Formula This calculator uses inches for measurements. Surface area = 2lw + 2lh + 2wh. The formula used to calculate the surface area of a rectangular tank is: The formula for calculating the surface area of a rectangular tank is: If you want to calculate the surface area of a rectangular tank, you can use the formula: A rectangular tank surface. Rectangular Tank Area Formula.
From www.cuemath.com
Volume of Rectangular Tank Definition, Formula and Examples, Rectangular Tank Area Formula V = l × w × h. The volume of a rectangular tank is calculated by multiplying the length, width, and height of the tank. Surface area = 2lw + 2lh + 2wh. If you want to calculate the surface area of a rectangular tank, you can use the formula: A = 2lw + 2lh + 2wh where l is. Rectangular Tank Area Formula.
From www.scribd.com
Rectangular Tank Calculation PDF Mechanical Engineering Mechanics Rectangular Tank Area Formula W is the width of. L is the length, w is the width, and. If you want to calculate the surface area of a rectangular tank, you can use the formula: The formula for calculating the surface area of a rectangular tank is: The volume of a rectangular tank is calculated by multiplying the length, width, and height of the. Rectangular Tank Area Formula.
From www.youtube.com
How to Calculate Quantity of Water in Rectangular Tank Tank Size Rectangular Tank Area Formula S a = 2 (l w + l h + w h) where: This calculator uses inches for measurements. L is the length, w is the width, and. Surface area = 2lw + 2lh + 2wh. W is the width of. Surface area = 2lw + 2lh + 2wh. L is the length of the tank. If you want to. Rectangular Tank Area Formula.
From www.youtube.com
How To Calculate Rectangular Water Tank Capacity How to calculate Rectangular Tank Area Formula The formula used to calculate the surface area of a rectangular tank is: Calculate the volume, capacity, and the surface area of a rectangle shaped tank. A = 2lw + 2lh + 2wh where l is length, w is width, and h. Here are the essential formulas for a rectangular tank: Surface area = 2lw + 2lh + 2wh. L. Rectangular Tank Area Formula.
From www.doubtnut.com
An open rectangular tank of dimensions 6mxx5mxx4m contains water upto Rectangular Tank Area Formula A rectangular tank surface area calculator. Surface area = 2lw + 2lh + 2wh. L is the length, w is the width, and. V = l × w × h. S a = 2 (l w + l h + w h) where: A = 2lw + 2lh + 2wh where l is length, w is width, and h. The. Rectangular Tank Area Formula.
From www.numerade.com
SOLVED A rectangular tank that is 108 ft³ with a square base and open Rectangular Tank Area Formula Calculate the volume, capacity, and the surface area of a rectangle shaped tank. This calculator uses inches for measurements. L is the length, w is the width, and. S a = 2 (l w + l h + w h) where: A = 2lw + 2lh + 2wh where l is length, w is width, and h. The formula for. Rectangular Tank Area Formula.
From www.numerade.com
SOLVED A rectangular tank with a square base, an open top, and a Rectangular Tank Area Formula V = l × w × h. The volume of a rectangular tank is calculated by multiplying the length, width, and height of the tank. L is the length of the tank. L is the length, w is the width, and. Calculate the volume, capacity, and the surface area of a rectangle shaped tank. A = 2lw + 2lh +. Rectangular Tank Area Formula.
From www.mdpi.com
Applied Sciences Free FullText Numerical Analysis of the Bottom Rectangular Tank Area Formula L is the length, w is the width, and. L is the length of the tank. Surface area = 2lw + 2lh + 2wh. The volume of a rectangular tank is calculated by multiplying the length, width, and height of the tank. Surface area = 2lw + 2lh + 2wh. V = l × w × h. A rectangular tank. Rectangular Tank Area Formula.
From concalculator.com
TANK VOLUME CALCULATOR [How to Calculate Tank Capacity?] Rectangular Tank Area Formula A rectangular tank surface area calculator. The formula for calculating the surface area of a rectangular tank is: S a = 2 (l w + l h + w h) where: Surface area = 2lw + 2lh + 2wh. L is the length of the tank. V = l × w × h. W is the width of. A =. Rectangular Tank Area Formula.
From calculator-online.net
Tank Volume Calculator Calculate Volume of Different Shapes Rectangular Tank Area Formula A rectangular tank surface area calculator. Calculate the volume, capacity, and the surface area of a rectangle shaped tank. This calculator uses inches for measurements. If you want to calculate the surface area of a rectangular tank, you can use the formula: Surface area = 2lw + 2lh + 2wh. The formula used to calculate the surface area of a. Rectangular Tank Area Formula.
From www.engineeringbooks.me
Design of Rectangular Tank Excel Sheet Engineering Books Rectangular Tank Area Formula W is the width of. The volume of a rectangular tank is calculated by multiplying the length, width, and height of the tank. S a = 2 (l w + l h + w h) where: A = 2lw + 2lh + 2wh where l is length, w is width, and h. L is the length of the tank. The. Rectangular Tank Area Formula.
From billoqa.weebly.com
Calculate rectangular tank volume billoqa Rectangular Tank Area Formula The formula for calculating the surface area of a rectangular tank is: A rectangular tank surface area calculator. L is the length, w is the width, and. S a = 2 (l w + l h + w h) where: V = l × w × h. W is the width of. The volume of a rectangular tank is calculated. Rectangular Tank Area Formula.
From www.youtube.com
tank volume calculation volume of rectangular tank tank volume Rectangular Tank Area Formula If you want to calculate the surface area of a rectangular tank, you can use the formula: Surface area = 2lw + 2lh + 2wh. L is the length of the tank. This calculator uses inches for measurements. The formula for calculating the surface area of a rectangular tank is: A = 2lw + 2lh + 2wh where l is. Rectangular Tank Area Formula.
From holfly.weebly.com
Calculate rectangular tank volume holfly Rectangular Tank Area Formula S a = 2 (l w + l h + w h) where: Calculate the volume, capacity, and the surface area of a rectangle shaped tank. L is the length of the tank. The formula used to calculate the surface area of a rectangular tank is: W is the width of. The formula for calculating the surface area of a. Rectangular Tank Area Formula.
From www.researchgate.net
Geometry setup of liquid sloshing in a rectangular tank. Download Rectangular Tank Area Formula The formula used to calculate the surface area of a rectangular tank is: If you want to calculate the surface area of a rectangular tank, you can use the formula: A = 2lw + 2lh + 2wh where l is length, w is width, and h. The volume of a rectangular tank is calculated by multiplying the length, width, and. Rectangular Tank Area Formula.
From www.youtube.com
Volume of a rectangular water tank. YouTube Rectangular Tank Area Formula A rectangular tank surface area calculator. The formula for calculating the surface area of a rectangular tank is: The formula used to calculate the surface area of a rectangular tank is: Calculate the volume, capacity, and the surface area of a rectangle shaped tank. L is the length of the tank. The volume of a rectangular tank is calculated by. Rectangular Tank Area Formula.
From www.youtube.com
How to calculate rectangular water tank capacity in liters and gallons Rectangular Tank Area Formula A rectangular tank surface area calculator. L is the length, w is the width, and. Here are the essential formulas for a rectangular tank: The formula used to calculate the surface area of a rectangular tank is: W is the width of. Calculate the volume, capacity, and the surface area of a rectangle shaped tank. The volume of a rectangular. Rectangular Tank Area Formula.
From pdfslide.net
Rectangular Tank Calculation Rectangular Tank Area Formula This calculator uses inches for measurements. L is the length of the tank. The formula for calculating the surface area of a rectangular tank is: Surface area = 2lw + 2lh + 2wh. A rectangular tank surface area calculator. The formula used to calculate the surface area of a rectangular tank is: The volume of a rectangular tank is calculated. Rectangular Tank Area Formula.
From www.numerade.com
SOLVED The base of a rectangular reservoir has ength of 25 meters and Rectangular Tank Area Formula S a = 2 (l w + l h + w h) where: The volume of a rectangular tank is calculated by multiplying the length, width, and height of the tank. L is the length, w is the width, and. V = l × w × h. The formula for calculating the surface area of a rectangular tank is: Here. Rectangular Tank Area Formula.
From www.youtube.com
Estimate Of RCC Underground Rectangular Water TankBest Video Tutorial Rectangular Tank Area Formula Surface area = 2lw + 2lh + 2wh. W is the width of. L is the length, w is the width, and. A = 2lw + 2lh + 2wh where l is length, w is width, and h. A rectangular tank surface area calculator. If you want to calculate the surface area of a rectangular tank, you can use the. Rectangular Tank Area Formula.
From teachoo.com
Ex 13.2, 2 It is required to make closed cylindrical tank Ex 13.2 Rectangular Tank Area Formula The formula for calculating the surface area of a rectangular tank is: This calculator uses inches for measurements. L is the length, w is the width, and. Calculate the volume, capacity, and the surface area of a rectangle shaped tank. L is the length of the tank. A = 2lw + 2lh + 2wh where l is length, w is. Rectangular Tank Area Formula.
From engineeringinfohub.com
Calculate The Rectangular Water Tank Size And The Capacity Rectangular Tank Area Formula Here are the essential formulas for a rectangular tank: A = 2lw + 2lh + 2wh where l is length, w is width, and h. If you want to calculate the surface area of a rectangular tank, you can use the formula: Calculate the volume, capacity, and the surface area of a rectangle shaped tank. S a = 2 (l. Rectangular Tank Area Formula.
From www.civilology.com
How to Calculate Rectangular Water Tank Size & Capacity in liters Rectangular Tank Area Formula A rectangular tank surface area calculator. Here are the essential formulas for a rectangular tank: L is the length, w is the width, and. A = 2lw + 2lh + 2wh where l is length, w is width, and h. V = l × w × h. Surface area = 2lw + 2lh + 2wh. S a = 2 (l. Rectangular Tank Area Formula.
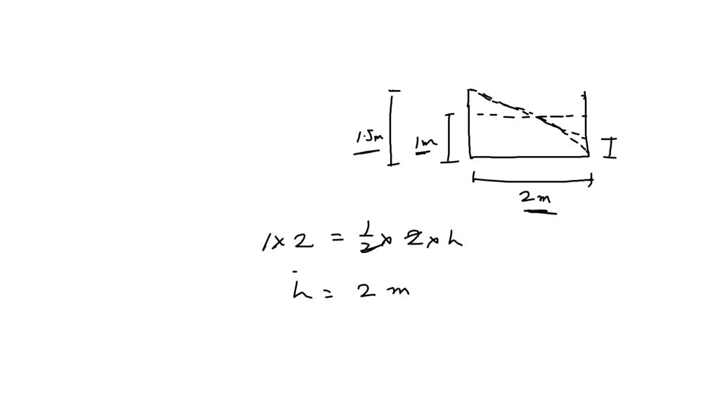
From www.numerade.com
SOLVEDAn open rectangular tank 1 m wide and 2 m long contains gasoline Rectangular Tank Area Formula The formula for calculating the surface area of a rectangular tank is: Surface area = 2lw + 2lh + 2wh. W is the width of. The formula used to calculate the surface area of a rectangular tank is: V = l × w × h. Calculate the volume, capacity, and the surface area of a rectangle shaped tank. Here are. Rectangular Tank Area Formula.
From engineeringdiscoveries.com
Design Of Rectangular Water Tank Engineering Discoveries Rectangular Tank Area Formula Calculate the volume, capacity, and the surface area of a rectangle shaped tank. The formula for calculating the surface area of a rectangular tank is: Surface area = 2lw + 2lh + 2wh. The volume of a rectangular tank is calculated by multiplying the length, width, and height of the tank. W is the width of. S a = 2. Rectangular Tank Area Formula.
From gioralwys.blob.core.windows.net
Rectangular Water Tank Volume Calculator at Robert Spann blog Rectangular Tank Area Formula V = l × w × h. W is the width of. Calculate the volume, capacity, and the surface area of a rectangle shaped tank. A rectangular tank surface area calculator. Surface area = 2lw + 2lh + 2wh. L is the length, w is the width, and. The formula used to calculate the surface area of a rectangular tank. Rectangular Tank Area Formula.
From www.researchgate.net
Geometry setup of liquid sloshing in a rectangular tank. Download Rectangular Tank Area Formula The volume of a rectangular tank is calculated by multiplying the length, width, and height of the tank. Surface area = 2lw + 2lh + 2wh. V = l × w × h. A = 2lw + 2lh + 2wh where l is length, w is width, and h. If you want to calculate the surface area of a rectangular. Rectangular Tank Area Formula.
From www.pinterest.com
Rectangle & Clyinder Tank Capacity Formula Math formulas, Math Rectangular Tank Area Formula The volume of a rectangular tank is calculated by multiplying the length, width, and height of the tank. The formula used to calculate the surface area of a rectangular tank is: This calculator uses inches for measurements. V = l × w × h. A = 2lw + 2lh + 2wh where l is length, w is width, and h.. Rectangular Tank Area Formula.
From www.teachoo.com
Misc 9 A tank with rectangular base, sides, open at top is Rectangular Tank Area Formula If you want to calculate the surface area of a rectangular tank, you can use the formula: This calculator uses inches for measurements. A = 2lw + 2lh + 2wh where l is length, w is width, and h. The formula for calculating the surface area of a rectangular tank is: The formula used to calculate the surface area of. Rectangular Tank Area Formula.
From www.teachoo.com
Misc 9 A tank with rectangular base, sides, open at top is Rectangular Tank Area Formula The volume of a rectangular tank is calculated by multiplying the length, width, and height of the tank. A = 2lw + 2lh + 2wh where l is length, w is width, and h. V = l × w × h. The formula for calculating the surface area of a rectangular tank is: Here are the essential formulas for a. Rectangular Tank Area Formula.
From www.chegg.com
Solved A rectangular tank has dimensions 8 m by 4 m by 5 m. Rectangular Tank Area Formula The formula used to calculate the surface area of a rectangular tank is: The formula for calculating the surface area of a rectangular tank is: W is the width of. If you want to calculate the surface area of a rectangular tank, you can use the formula: S a = 2 (l w + l h + w h) where:. Rectangular Tank Area Formula.
From www.youtube.com
DESIGN OF RECTANGULAR TANK RESTING ON GROUND L/B GREATER THAN 2 Rectangular Tank Area Formula Surface area = 2lw + 2lh + 2wh. A = 2lw + 2lh + 2wh where l is length, w is width, and h. Here are the essential formulas for a rectangular tank: V = l × w × h. S a = 2 (l w + l h + w h) where: If you want to calculate the surface. Rectangular Tank Area Formula.